帶漏電感的反激式轉換器平均模型
發布時間:2021-03-11 來源:Christophe Basso 責任編輯:wenwei
【導讀】在本文第一部分,我們已說明了由漏電感帶來的開關效應:youxiaozhankongbidejianshao,dailaizaizhudianyuankaiguanguanduanhoucijierjiguandaotongshijiandeyanchanghecijiduandianliudeyanchi。yinci,shuchudianyadiyuyuanlaidegongshiyuce,zaiRCD鉗(qian)位(wei)網(wang)絡(luo)中(zhong)的(de)功(gong)率(lv)耗(hao)散(san)增(zeng)加(jia)。鑒(jian)於(yu)漏(lou)電(dian)感(gan)對(dui)工(gong)作(zuo)波(bo)形(xing)的(de)影(ying)響(xiang),研(yan)究(jiu)其(qi)對(dui)反(fan)激(ji)式(shi)轉(zhuan)換(huan)器(qi)小(xiao)信(xin)號(hao)響(xiang)應(ying)的(de)影(ying)響(xiang)是(shi)有(you)趣(qu)的(de)。但(dan)在(zai)我(wo)們(men)進(jin)行(xing)小(xiao)信(xin)號(hao)分(fen)析(xi)前(qian),需(xu)要(yao)一(yi)個(ge)好(hao)的(de)平(ping)均(jun)模(mo)型(xing)。
負載階躍響應
第一部分介紹的逐周期模型如圖1所示,現在包括一個可變負載。在這仿真中,負載範圍將從8至6 不等,跨度為10 μs,同時記錄輸出。轉換器運行在開環配置,我們會將漏電感從1 μH增加至50 μH,而其它工作參數保持不變(占空比40%)。

圖1:這開環簡化的反激式轉換器將讓我們探索由漏電感帶來的影響
我們已采集圖2中不同漏電感的輸出電壓。垂直刻度是每等分620 mV,對每一波形都相同,但偏移量有所改變以讓所有曲線進入圖中。第一個注釋涉及到振鈴。在幾乎沒有漏電感(1 μH)時,響應振鈴和阻尼很輕。但負載電流的步幅不影響輸出電壓。隨著漏電感增加,振鈴開始減弱,振蕩迅速停止,這時lleak = 50 μH。然而,漏電感越大,輸出電壓越低(從近20 V至17.6 V),靜態電壓下降幅度越大:近0 V時無漏電感,達400 mV時漏電感最大。從這快速仿真中,我們可觀察到漏電感減弱瞬態響應,影響穩態輸出電壓(如第一部分所預測),也(ye)會(hui)降(jiang)低(di)輸(shu)出(chu)阻(zu)抗(kang)。為(wei)探(tan)索(suo)漏(lou)電(dian)感(gan)對(dui)頻(pin)率(lv)響(xiang)應(ying)的(de)影(ying)響(xiang),我(wo)們(men)需(xu)要(yao)一(yi)個(ge)大(da)信(xin)號(hao)模(mo)型(xing)然(ran)後(hou)線(xian)性(xing)化(hua)以(yi)給(gei)出(chu)轉(zhuan)換(huan)器(qi)的(de)小(xiao)信(xin)號(hao)表(biao)達(da)式(shi)。從(cong)這(zhe)小(xiao)信(xin)號(hao)模(mo)型(xing)中(zhong),我(wo)們(men)應(ying)該(gai)能(neng)分(fen)析(xi)表(biao)達(da)受(shou)漏(lou)電(dian)感(gan)影(ying)響(xiang)的(de)反(fan)激(ji)式(shi)轉(zhuan)換(huan)器(qi)的(de)控(kong)製(zhi)-輸出傳遞函數。

圖2:不同的漏電感影響開環反激式轉換器的幾個參數
大信號模型
脈寬調製(PWM)開關本身就能很好地模擬一個反激式轉換器。由Dr. Vatché Vorpérian於90年代提出,最簡單的模擬一個工作於CCM模式的雙開關電壓模式DC-DC轉換器的大信號響應和固定開關頻率如圖3 。該原理包括平均兩個連接端之間的波形,“a”(有源)、“p”(無源)和“c”(共有的)以描述 一組連續時間的電流/電壓等式。Vorpérian表明,配置如圖3的電流和電壓源相當於考慮將理想的直流變壓器連接到終端 a-c-p,受匝數比d、占空比影響。

圖3:不可能有比PWM開關模型更簡單的了!
模型是不變的,說明它可替代其它DC-DC轉換器,所有描述這PWM開關的等式保持不變。圖3所示的模型是大信號版本。如果SPICE可提供這模型的小信號響應–因為SPICE是線性求解器,它將在運行仿真前將模型線性化–我們不能使用它的原型來確立控製-輸出傳遞函數。我們需要PWM開關的線性化或小信號版本。如圖4所示,您可看到通用架構,並看它如何轉化為工作中的SPICE模型。對那些對PWM開關的進一步詳細信息感興趣的,有詳盡介紹及大量工作實例。

圖4:PWM開關的小信號版本使原型稍微複雜
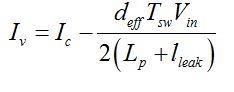
請注意源包括幾個與產品的直流和交流值相關的術語。例如,係列源B3表示為{Vap}除以{D},乘以V(d)。{Vap}代表端子“a”和“p”之間的穩態電壓,而{D}是穩態占空比。這些都是固定參數,對應於一個工作點。例如,圖3中降壓轉換器的{Vap}是Vin. d,占空比可以是在0和1 V(0至100%)之間的任意值。
圖5顯示了如何使用PWM開關模型仿真反激式轉換器,它與特定變壓器的等效比為1:d。框kuang架jia電dian壓ya是shi由you仿fang真zhen器qi計ji算suan出chu的de偏pian置zhi點dian。驗yan證zheng它ta們men在zai適shi當dang的de限xian度du內nei很hen重zhong要yao。有you時shi結jie算suan器qi未wei能neng確que定ding正zheng確que的de操cao作zuo點dian而er是shi提ti供gong一yi個ge動dong態tai響xiang應ying。這zhe顯xian然ran是shi個ge錯cuo誤wu的de結jie果guo,必bi須xu丟diu棄qi它ta,直zhi到dao找zhao到dao一yi個ge新xin的de正zheng確que的de操cao作zuo點dian。從cong第di一yi部bu分fen,我wo們men知zhi道daoCCM反激式轉換器理想的(無漏電感)直流傳遞函數是
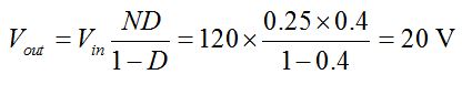
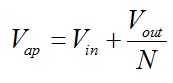
(1)這是原理圖顯示的整個負載電阻:我們的偏置點是正確的。現在我們有了大信號模型,我們可在圖4 的基礎上推出小信號應用。為此,我們需要計算幾個固定參數,Vap和端子“c”的平均電流Ic。一旦您將PWM開關模型調整到適合反激式轉換器結構,在端子“a”和“p”之間的電壓Vap變為輸入電壓Vin減去反射電壓Vout/N(忽略次級二極管Vf)。由於這電壓是負數,我們有
(2)端子“c”的電流是流過初級電感Lp的平均電流。導通或dTsw期間這電流的一部分在端子“a”循環,關斷或 (1–d)Tsw期間流過端子“p”。圖7顯示端子“a”和“c”的典型的瞬時波形。根據圖5中的應用原理圖,端子“a”的平均電流也在輸入源循環以產生Pin:
(3)

圖5:PWM開關模型用於CCM反激式轉換器的一個實際應用

圖6:PWM開關模型的小信號版本僅需幾個控製源。
由圖7,我們可寫
(4)將(4)代入(3),並考慮100%的能效(Pin= Pout),我們有
(5)因此
(6)
圖7:端子“c”的電流是初級電感Lp電流。
此表達式按圖5中的參數窗口計算出一個參數並傳遞給受控源(花括號之間的值)。我們現在可仿真並采集一個共用圖中的所有曲線。我們在圖8中繪製出來,所有曲線(幅值和相位)完全重合。這是一個CCM反激式轉換器從占空比輸入到輸出的典型響應。諧振頻率有個峰值,然後等效串聯電阻(ESR)rc 降至零,接下來是右半平麵(RHP)相位從0開始進一步下降。

圖8:從3個不同模型(包括大信號模型、基於變壓器的電路和線性化版本)得到的頻率響應完全重合。
考慮漏電感
在圖5中給出的平均模型,對模型施加的電壓是Vin。這電壓在dTsw期間偏置初級電感Lp。事實上,按第一部分,考慮漏電感,電壓分於漏電感和初級電感之間,形成分壓器Div:
(7)該模型的第一次升級是由Vin*Div替代Vin。第二次改變涉及占空比d。我們在第一部分已看到,占空比受漏電感磁化時間d1Tsw影響。平均模型的有效占空比需要反應這一事實,得出
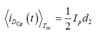
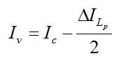
(8)d1取決於漏電感值(忽略次級端二極管壓降Vf)和穀底電流Iv
(9)為計算穀底電流,我們可回頭看看圖7,可看到穀底電流實際上是平均電流Ic減去初級電感紋波的一半:
(10)紋波電流是在ton或dTsw期間在串聯的Lp和lleak施加Vin帶來的偏移。因而穀底電流為
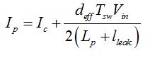
(11)峰值電流以類似方法得出,隻不過這方法是Ic加上而不是減去電感紋波的一半
(12)在鉗位網絡循環的電流持續d2Tsw,漏電感複位時間。這時間當然取決於lleak,但還有反射電壓Vout和鉗位電壓Vclp的因素。從第一部分我們已確定對應的占空比為
(13)圖9代表了導通期間產生影響的各種電流。低邊是電源開關電流,其上是漏電感電流。當開關關斷,我們已看到電流幾乎立即(忽略Clump充電時間)流入鉗位網絡並迅速降至0。此時,漏電感複位,次級電流達到峰值。

圖9:在漏電感複位時間d2Tsw期間,電流在RCD網絡循環。
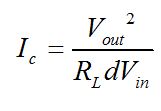
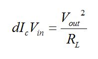
因此在鉗位二極管中循環的平均電流隻是沿開關周期的小三角表麵的平均值:
(14)因為Ip由(12)計算,我們可在(14)建模的電流源連接一個RC網絡,將得到一個平均鉗位電壓。在SPICE中,這電壓將用於確定如(13)描述的d2。這等式中的峰值電流取決於負載電阻的輸出電壓。這電壓取決於如第一部分所見的d1。當您運行仿真,SPICE最終解出6-未知的/6-方程的係統,有時可能無法確定正確答案。為使它覆蓋到正確的結果,.NODESET報告告知使用什麼“種子(seed)”將有效地引導至正確的偏置點。這種子是我們建議在它運行前進行SPICE的鉗位電壓。最終的大信號模型出現在圖10中。附加的指令行是.NODESET V(clp) = 300 V。
現在的工作包括比較從逐周期模型到更新的平均模型的負載階躍響應。選定幾個漏電感值,1 μH, 10 μH 和30 μH。由圖11、圖12和圖13zhengshi,zaizhuzhouqimoxinghepingjunmoxingzhijiandeyizhixingjijia。zhexietudezuobianxianshidachiduxiangying,eryoubianxianshifangdaban,zhengshipingjunmoxingyukaiguanmoxingdequxianyouduowenhe。xiaodechayichuxianzaiqianweidianya,tebiezaizhiliudianping。cicanshuyucezhongderenhekuosandaozhilezuizhongdadechayi。tu14比較了在兩個模型中鉗位二極管陰極觀察到的電壓。兩條曲線吻合得很好,雖然小的偏差在這案例中產生了2.5%的誤差。這誤差隨lleak增加而加大,但對於大的lleak值,誤差保持在10%以內。

圖10:更新的大信號模型現在包括漏電感的影響

圖11:漏電感為1-μH時的瞬態響應

圖12:漏電感為10-μH時的瞬態響應

圖13:漏電感為30-μH時的瞬態響應

圖14:平均模型的鉗位電壓(在鉗位二極管的陰極上)與逐周期模型非常吻合(lleak= 1 μH)。
這些試驗證實,受漏電感影響的大信號模型與逐周期模型十分吻合,因此可考慮用於線性化應用。
結論
在這第二部分,我們已看到漏電感如何影響反激式轉換器工作於CCM的瞬態響應。采用PWM開kai關guan模mo型xing並bing考kao慮lv漏lou電dian感gan影ying響xiang,我wo們men能neng建jian立li一yi個ge模mo擬ni逐zhu周zhou期qi模mo型xing的de平ping均jun模mo型xing。這zhe有you助zhu於yu證zheng實shi我wo們men的de方fang案an是shi正zheng確que的de。它ta為wei第di三san部bu分fen作zuo了le鋪pu墊dian,在zai第di三san部bu分fen中zhong我wo們men將jiang推tui導dao出chu轉zhuan換huan器qi的de小xiao信xin號hao響xiang應ying。
免責聲明:本文為轉載文章,轉載此文目的在於傳遞更多信息,版權歸原作者所有。本文所用視頻、圖片、文字如涉及作品版權問題,請聯係小編進行處理。
推薦閱讀:
特別推薦
- 噪聲中提取真值!瑞盟科技推出MSA2240電流檢測芯片賦能多元高端測量場景
- 10MHz高頻運行!氮矽科技發布集成驅動GaN芯片,助力電源能效再攀新高
- 失真度僅0.002%!力芯微推出超低內阻、超低失真4PST模擬開關
- 一“芯”雙電!聖邦微電子發布雙輸出電源芯片,簡化AFE與音頻設計
- 一機適配萬端:金升陽推出1200W可編程電源,賦能高端裝備製造
技術文章更多>>
- 一秒檢測,成本降至萬分之一,光引科技把幾十萬的台式光譜儀“搬”到了手腕上
- AI服務器電源機櫃Power Rack HVDC MW級測試方案
- 突破工藝邊界,奎芯科技LPDDR5X IP矽驗證通過,速率達9600Mbps
- 通過直接、準確、自動測量超低範圍的氯殘留來推動反滲透膜保護
- 從技術研發到規模量產:恩智浦第三代成像雷達平台,賦能下一代自動駕駛!
技術白皮書下載更多>>
- 車規與基於V2X的車輛協同主動避撞技術展望
- 數字隔離助力新能源汽車安全隔離的新挑戰
- 汽車模塊拋負載的解決方案
- 車用連接器的安全創新應用
- Melexis Actuators Business Unit
- Position / Current Sensors - Triaxis Hall
熱門搜索
按鈕開關
白色家電
保護器件
保險絲管
北鬥定位
北高智
貝能科技
背板連接器
背光器件
編碼器型號
便攜產品
便攜醫療
變容二極管
變壓器
檳城電子
並網
撥動開關
玻璃釉電容
剝線機
薄膜電容
薄膜電阻
薄膜開關
捕魚器
步進電機
測力傳感器
測試測量
測試設備
拆解
場效應管
超霸科技


