串聯RLC電路原理和應用
發布時間:2020-11-04 責任編輯:wenwei
【導讀】電阻(R)、電感器(L)和電容器(C)是電子學的三個基本無源元件。它們的特性和行為已經在交流電阻、交流電感和交流電容中詳細介紹過教程本文將重點討論這三個元件的串聯組合,稱為串聯RLC電路。首先,介紹了三種本構元件的交流特性,並簡要介紹了RLC電路。
串聯RLC電路
演示
RLC電路的表示如下圖1所示:

圖1:RLC係列電路示意圖
電阻器是一個純電阻元件,在其上的電壓和電流之間沒有相移。其阻抗(ZR)在直流和交流區保持不變,等於R(單位:Ω),電感是一個純無功元件,相移為+90°或+π/2rad。其阻抗由ZL=jωL給出,ω是交流情況下電壓/電流的角頻率,L是電感(單位:H)。在直流區,電感器表現為兩個端子之間的短路;在交流區,電感器的阻抗隨著頻率。電感器通常被認為是一種元件,它可以抵抗電流。電容器也是純無功元件,但其相移為-90°或-π/2rad。它的阻抗由ZC=-j/Cω給出,C是電容(單位為F),因此當頻率增加時,它在直流區表現為開路,在交流區表現為短路電壓輸入圖1,這三個組件串聯在一起。電路由直流或交流電源供電,輸出是電容器上的電壓。前麵的阻抗之和是電路阻抗的總和說明:ZRLC=ZR+ZL+ZC=R+j(Lω-(1/Cω))在下一節中,我們將介紹該電路對電壓階躍(也稱為瞬態響應)的響應。
瞬態響應
在本節中,我們將重點關注圖1中所示電路的行為,當對其應用重邊步驟H(t)時:

圖2:Heaviside函數說明
升程階躍的特征是t<0等於0,t>0時等於Vin。這兩種狀態之間的轉換類似於脈衝,因為當t=0時,導數趨於+∞。通過對電路進行網絡分析,我們可以得出:Vin=R×I+L×dI/dt+Vout。此外,我們知道電流可以改寫為I=C×dVout/dt,由此得到以下二階微分方程:

式1:串聯RLC電路的二階微分方程
這種方程的解是永久響應(時間常數)和瞬態響應Vout,tr(時間變量)的總和。永久響應的求解是一個方程1的永久解,其瞬態響應很複雜,涉及許多步驟,本文不詳細介紹。我們承認它的表達式可以有三種不同的形式,取決於Q=(1/R)√(L/C)的值,稱為電路的品質因數。另一個重要參數是ω0=1/√(LC),這是電路。何時Q> 1/2,該係統被稱為偽周期響應或欠阻尼響應,瞬態響應可采用Vout、tr=Ae-αtcos(ωt+Φ)的形式寫入。考慮電路初始條件(如果電容器充電或未充電…)可以找到常數A、α和Φ。脈動ω稱為角頻率,取決於基本頻率ω0。當Q<1/2時,該係統被稱為非周期或過采樣響應,瞬態響應形式為Vout,tr=e-αt(A1e-ωt+A2eωt),最後一種情況是Q=1/2,對應於臨界狀態或臨界阻尼響應。在這種情況下,Vout,tr=(A+Bt)e-ω0t,Vin:

圖3:瞬態響應的不同區域曲線
當時間增加時,每條曲線趨於0。這是有意義的,因為我們知道Vout=Vin+Vout,tr和Vout(t→+∞)=Vin,因此,Vout,tr→0。但是,不同的可能瞬態響應在相同的速度和行為下不趨向於0。臨界狀態是最快趨於0的狀態,而非周期狀態是最慢的。偽周期區域呈現振幅減小的振蕩指數級的。為了一個未知的RLC電路,用最佳可能曲線識別和匹配瞬態響應,可以得到電路的重要特性,如ω0和Q。
交流響應
在本節中,我們考慮圖1中所示的同一電路,現在使用交流電源供電。利用複符號dX/dt=jωX的性質,ω是源的角頻率,我們可以用以下形式重寫方程1:

式2:串聯RLC電路的複二階微分方程
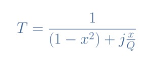
然後我們可以表示Vout/Vin的比值,這是串聯RLC電路的傳遞函數T:

公式3:串聯RLC電路的傳遞函數
知道Q=(1/R)√(L/C),ω0=1/√(LC),並考慮參數x=ω/ω0,稱為歸一化頻率,我們可以重新整理方程3,寫出傳遞函數的標準形式,從而簡化並使表達式更緊湊:

公式4:RLC電路傳遞函數的標準形式
為了獲得作為參數x的函數的電路增益,繪製傳遞函數的範數是很有趣的。本例中取了R=10Ω和20Ω,L=0.2 H,C=100μF的值:

圖4:串聯RLC電路的增益
我們可以注意到,圖1中所示的串聯RLC電路在交流區起到了二階低通濾波器的作用,因為它降低了高於ω0的脈動的輸出信號,通常稱為電路。二階濾波器具有對ω0附近頻率的信號進行輕微放大的特性,並且在截止頻率之後呈現-40 dB/dec的降低,而不是僅-20 dB/dec,例如一階過濾器。它在圖4中強調了Q值(取決於R)對曲線形狀的影響。共振頻率附近的峰值確實以其帶寬Δω=ω0/Q為特征。在本例中,ω0=223 rad/s和Q=4.5或2.25,這使得橙色曲線的Δω=50 rad/s較窄,藍色曲線的帶寬為100 rad/s。因此,我們可以注意到,品質因數決定了共振是窄的(大Q)還是寬的(小Q)。如前一節所述,用最佳可能曲線擬合未知電路的傳遞函數,可以了解電路的特性,從而確定其組成元件的值。
RCL和CLR配置
基本元件R、L和C的其它組合可以提供不同類型的濾波器。我們之前已經看到RLC配置是二階低通濾波器,但是如果我們在它們之間切換一些組件呢?圖5和圖6顯示了兩種新的配置,即RCL和CLR電路:

圖5:RCL電路示意圖

圖6:CLR電路示意圖
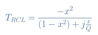
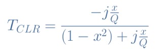
盡管這些電路和圖1中所示的原始RLC電路之間的變化很小,交流響應非常大不一樣。它可以證明這兩個電路的傳遞函數由等式4和5給出:

公式5:RCL電路傳遞函數

公式6:CLR電路傳遞函數
通過繪製具有相同值的傳遞函數範數:R=10Ω和20Ω,L=0.2h,C=100μF,揭示了這些新濾波器的性質。

圖7:串聯RCL和CLR電路的增益
RCL電路是一種二階高通濾波器,因為它可以衰減ω0以下的頻率。電路CLR是一個帶通濾波器,因為它隻放大ω0左右的頻率。請注意,與上一節中關於曲線形狀作為Q函數的注釋仍然適用於這兩個過濾器。
結論
串聯RLC電路是由三個基本電子元件串聯而成:電阻器、dianganqihedianrongqi。dianzudezukangshishishu,dianganqihedianrongqidezukangshichunxushu,dianludezongzukangshizhesangezukangzhihe,yincishiyigefushushuzi。nagedierjieshouxiandingyibinggeichudianludeshuntaixiangying。tabaokuozaigaodianyajieyuexiayanjiudianludexingwei。tongguoyanjiuyudianluxiangguandeerjieweifenfangchengdekenengjie,kenengcunzaisanzhongqingkuang:
欠阻尼響應,信號向永久值Vin緩慢振蕩。
信號緩慢增加到永久值的過阻尼響應。
臨界阻尼響應是信號向永久值增長最快的情況。
第di三san部bu分fen介jie紹shao了le電dian路lu的de交jiao流liu響xiang應ying。當dang提ti供gong交jiao流liu信xin號hao時shi,微wei分fen方fang程cheng可ke以yi寫xie成cheng複fu數shu形xing式shi,以yi便bian找zhao到dao電dian路lu的de傳chuan遞di函han數shu。繪hui製zhi該gai函han數shu的de範fan數shu表biao明ming串chuan聯lianRLC電路具有二階低通特性過濾器。輸入最後一節研究了RCL和CLR兩種不同的結構。這一節說明,二階高通濾波器或帶通濾波器可以由同一電路通過簡單的開關元件來實現。
推薦閱讀:
特別推薦
- 噪聲中提取真值!瑞盟科技推出MSA2240電流檢測芯片賦能多元高端測量場景
- 10MHz高頻運行!氮矽科技發布集成驅動GaN芯片,助力電源能效再攀新高
- 失真度僅0.002%!力芯微推出超低內阻、超低失真4PST模擬開關
- 一“芯”雙電!聖邦微電子發布雙輸出電源芯片,簡化AFE與音頻設計
- 一機適配萬端:金升陽推出1200W可編程電源,賦能高端裝備製造
技術文章更多>>
- 貿澤EIT係列新一期,探索AI如何重塑日常科技與用戶體驗
- 算力爆發遇上電源革新,大聯大世平集團攜手晶豐明源線上研討會解鎖應用落地
- 創新不止,創芯不已:第六屆ICDIA創芯展8月南京盛大啟幕!
- AI時代,為什麼存儲基礎設施的可靠性決定數據中心的經濟效益
- 矽典微ONELAB開發係列:為毫米波算法開發者打造的全棧工具鏈
技術白皮書下載更多>>
- 車規與基於V2X的車輛協同主動避撞技術展望
- 數字隔離助力新能源汽車安全隔離的新挑戰
- 汽車模塊拋負載的解決方案
- 車用連接器的安全創新應用
- Melexis Actuators Business Unit
- Position / Current Sensors - Triaxis Hall
熱門搜索
Future
GFIVE
GPS
GPU
Harting
HDMI
HDMI連接器
HD監控
HID燈
I/O處理器
IC
IC插座
IDT
IGBT
in-cell
Intersil
IP監控
iWatt
Keithley
Kemet
Knowles
Lattice
LCD
LCD模組
LCR測試儀
lc振蕩器
Lecroy
LED
LED保護元件
LED背光



