利用散射參數對RF開關模型進行高頻驗證
發布時間:2020-03-16 來源:Joseph Creech 責任編輯:wenwei
【導讀】S (散射)參數用於表征使用匹配阻抗的電氣網絡。這裏的散射是電流或電壓在傳輸線路中斷情況下所受影響的方式。利用.S參數可以將一個器件看作一個具有輸入和相應輸出的"黑匣子",這樣就可以進行係統建模而不必關心其實際結構的複雜細節。
當今集成電路的帶寬不斷提高,因而必須在寬頻率範圍內表征其性能。傳統的低頻參數,如電阻、電容和增益等,可能與頻率有關,因此可能無法全麵描述IC在目標頻率的性能。此外,要在整個頻率範圍內表征一個複雜IC的每個參數可能是無法實現的,而使用S參數的係統級表征則可以提供更好的數據。
可以使用一個簡單的RF繼電器來演示高頻模型驗證技術。如圖1所示,可以將RF繼電器看作一個三端口器件:一個輸入端口、一yi個ge輸shu出chu端duan口kou和he一yi個ge用yong於yu開kai關guan電dian路lu的de控kong製zhi端duan口kou。如ru果guo器qi件jian性xing能neng與yu控kong製zhi端duan無wu關guan,一yi旦dan設she定ding後hou,就jiu可ke以yi將jiang繼ji電dian器qi簡jian化hua為wei一yi個ge雙shuang端duan口kou器qi件jian。因yin此ci,可ke以yi通tong過guo觀guan察cha輸shu入ru端duan和he輸shu出chu端duan的de行xing為wei來lai全quan麵mian表biao征zheng該gai器qi件jian。

圖1. RF繼電器模型
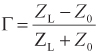
要理解Scanshudegainian,bixuzhidaoyixiechuanshuxianlilun。yudajiashuxidezhiliulilunxiangsi,zaigaopinshi,zuidachuanshugonglvyudianyuandezukanghefuzaidezukangyouguan。laiziyigezukangweiZS,的電源的電壓、電流和功率,沿著一條阻抗為Z0, 的傳輸線路,以波的形式行進到阻抗為 ZL的負載。如果ZL = Z0, 則全部功率都會從電源傳輸到負載。如果ZL ≠ Z0, 則某些功率會從負載反射回電源,不會發生最大功率傳輸。入射波和反射波之間的關係通過反射係數Γ來表示,它是一個複數,包含關於信號的幅度和相位信息.
如果Z0 和 ZL完全匹配,則不會發生反射,Γ = 0。如果 ZL 開路或短路,則Γ = 1,表示完全不匹配,所有功率都反射回 ZS 大多數無源係統中, ZL 不與Z0, 完全相等,因此0 < Γ < 1。要使Γ大於1,係統必須包含一個增益元件,但RF繼電器示例將不考慮這一情況。反射係數可以表示為相關阻抗的函數,因此Γ可以通過下式計算:

假設傳輸線路為一個雙端口網絡,如圖2所示。在這種表示方法中,可以看出,每個行進波都由兩部分組成。從雙端口器件的輸出端流到負載的總行進波部分,b2, 實際上是由雙端口器件的輸出端反射的一部分a2 和透射器件的一部分 a1組成。反之,從器件輸入端流回電源的總行進波b1, 則是由輸入端反射的一部分 a1 和返回器件的一部分a2組成

圖2. S參數模型
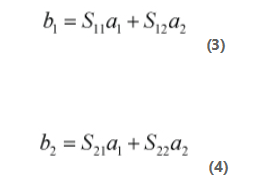
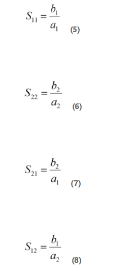
根據以上的說明,可以利用S參數列出用來確定反射波值的公式。反射波和發射波計算公式分別如式3和式4所示。

如果ZS = Z0(雙端口輸入的阻抗),則不會發生反射,a1 = 0.如果 ZL = Z0 (雙端口輸出的阻抗),則不會發生反射,a2 = 0.因此,我們可以根據匹配條件定義S參數,如下所示:

其中:
S11 = 輸入反射係數
S12 = 反向透射係數
S21 = 正向透射係數
S22 = 反向反射係數
通過這些公式可以完整描述任何雙端口係統,正向和反向增益分別用 S21 和 S12,來表征,正向和反向反射功率分別用S11 和 S22來表征.
要在實際係統中求解上述參數,ZS, Z0,和 ZL必須匹配。對於大多數係統,這很容易在寬頻率範圍內實現。
設計和測量傳輸線路阻抗
為確保雙端口係統具有匹配的阻抗,必須測量 ZS, Z0, 和 ZL. 多數RF係統工作在50 Ω環境下。ZS 和 ZL 一般受所用矢量網絡分析儀 (VNA) 的類型限製,但可以設計Z0使之與VNA阻抗匹配。
傳輸線路設計
傳輸線路的阻抗由線路上的電感和電容的比值設置。圖3所示為一個簡單的傳輸線路模型。

圖3. 傳輸線路的集總元件模型
利用計算目標頻率時的複阻抗的公式,確定獲得特定阻抗所需的L 和C 的值。調整 L 和C的方式取決於傳輸線路模型的類型,最常用的模型是微帶線和 共平麵波導.模型。利用物理參數,例如從走線到地層的距離、走線寬度和PCB基(ji)板(ban)介(jie)電(dian)常(chang)數(shu)等(deng),可(ke)以(yi)平(ping)衡(heng)電(dian)感(gan)和(he)電(dian)容(rong),從(cong)而(er)提(ti)供(gong)所(suo)需(xu)的(de)阻(zu)抗(kang)。設(she)計(ji)傳(chuan)輸(shu)線(xian)路(lu)阻(zu)抗(kang)的(de)最(zui)簡(jian)單(dan)方(fang)法(fa)是(shi)使(shi)用(yong)阻(zu)抗(kang)設(she)計(ji)程(cheng)序(xu),此(ci)類(lei)程(cheng)序(xu)有(you)很(hen)多(duo)。
測量阻抗
設計並生產出傳輸線路後,必須測量其阻抗,以驗證設計和實施無誤。一種測量阻抗的方法是使用 時域反射 TDR測量可以反映PCB走線的信號完整度。TDR沿(yan)著(zhe)信(xin)號(hao)線(xian)發(fa)送(song)一(yi)個(ge)快(kuai)速(su)脈(mai)衝(chong),並(bing)記(ji)錄(lu)反(fan)射(she)情(qing)況(kuang),然(ran)後(hou)利(li)用(yong)反(fan)射(she)信(xin)息(xi)計(ji)算(suan)距(ju)離(li)信(xin)號(hao)源(yuan)特(te)定(ding)長(chang)度(du)處(chu)的(de)路(lu)徑(jing)阻(zu)抗(kang)。利(li)用(yong)阻(zu)抗(kang)信(xin)息(xi)可(ke)以(yi)找(zhao)到(dao)信(xin)號(hao)路(lu)徑(jing)中(zhong)的(de)開(kai)路(lu)或(huo)短(duan)路(lu),或(huo)者(zhe)分(fen)析(xi)特(te)定(ding)點(dian)的(de)傳(chuan)輸(shu)線(xian)路(lu)阻(zu)抗(kang)。
TDR的工作原理是:對於一個不匹配的係統,在信號路徑上的不同點,反射會與信號源相加或相減(相長 和 相消 幹涉).如果係統(本例中為傳輸線路)匹配50 Ω,則信號路徑上不會發生發射,信號保持不變。然而,如果信號遇到開路,反射將與信號相加,使之加倍;如果信號遇到短路,反射將通過相減與之抵消。
如果信號遇到一個端接電阻,其值稍高於正確的匹配阻抗,則在TDR響應中會看到一個凸起;若端接電阻值稍低於匹配阻抗,則在TDR響應中會出現一個凹陷。對於容性或感性端接,將看到相似的響應,因為電容在高頻時短路,電感在高頻時開路。
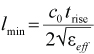
在所有影響TDR響應精度的因素中,最重要的一個是沿信號路徑發送的TDR脈衝的上升時間。脈衝的上升時間越快,則TDR可以分辨的特征越小。
根據TDR設備設定的上升時間,係統可以檢測的兩個不連續點之間的最短空間距離為:

其中:
lmin =從信號源到不連續點的最短空間距離
c0 = 光在真空中的傳播速度
trise = 係統的上升時間
εeff = 波在其中行進的介質的有效介電常數
若是檢測相對較長的傳輸線路,20 ps到30 ps的上升時間即足夠;但若要檢測集成電路器件的阻抗,則需要比這快得多的上升時間。
記錄TDR阻抗測量結果有助於解決傳輸線路設計的各種問題,如錯誤的阻抗、連接器結點引起的不連續以及焊接相關問題等。
精確記錄S參數
一旦完成PCB和係統的設計與製造,就必須在設定的功率和一係列頻率下利用VNA記錄下S參數;VNA應經過校準,確保記錄的精確性。校準技術的選擇取決於多種因素,如目標頻率範圍和待測器件(DUT)所需的 參考平麵 等.
校準技術
圖4顯示了雙端口係統的完整12項誤差模型及其係統性影響和誤差源。測量頻率範圍會影響校準選擇:頻率越高,則校準誤差越大。隨著更多誤差項變得顯著,必須更換校準技術以適應高頻影響。

圖4. 完整的雙端口12項誤差模型
一種廣為采用的VNA校準技術是SOLT(短路、開路、負載、透射)校準,也稱為TOSM(透射、開路、短路、匹配)校準。它很容易實現,隻需要一組已知的標準元件,並在正向和反向兩種條件下進行測量。標準元件可以隨同VNA一起購買,或者從其他製造商購買。對標準元件進行測量後,就可以確定實測響應與已知響應的差異,從而計算係統性誤差。
SOLT校準將VNA測量的參考平麵定位於校準期間所用同軸電纜的端部。SOLT校準的缺點是:參考平麵之間的任何互連,包括SMA連接器和PCB走線等,都會影響測量;隨著測量頻率提高,這些會變成更大的誤差源。SOLT校準隻能消除圖4中顯示的6個誤差項,但它能為低頻測量提供精確的結果,並具有容易實施的優點。
另一種有用的VNA校準技術是TRL(透射、反射、線路)校xiao準zhun。該gai技ji術shu僅jin基ji於yu短duan傳chuan輸shu線xian路lu的de特te征zheng阻zu抗kang。利li用yong兩liang條tiao傳chuan輸shu線xian路lu彼bi此ci相xiang差cha較jiao短duan長chang度du的de兩liang組zu雙shuang端duan口kou測ce量liang結jie果guo及ji兩liang組zu反fan射she測ce量liang結jie果guo,就jiu可ke以yi確que定ding完wan整zheng的de12項誤差模型。可以在DUT的PCB上設計TRL校準套件,以便利用該校準技術消除傳輸線路設計和互連引起的誤差,並將測量的參考平麵從同軸電纜移動到DUT引腳。
以上兩種校準技術各有長處,但TRL可以消除更多誤差源,因而能夠為高頻測量提供更高的精度。然而,TRL需要精確的傳輸線路設計和目標頻率下的精確TRL標準元件,因此更難以實施。SOLT的實施則相對簡單,因為大多數VNA都帶有可以在寬頻率範圍內使用的SOLT標準套件。
PCB設計和實現
為了正確校準VNA,適當的PCB設計至關重要。TRL等技術可以補償PCB設計的誤差,但無法完全消除誤差。例如,設計采用TRL校準的PCB時,S21 (如RF繼電器的插入損耗等)的值必須很低,為了精確測量S參數,需要考慮透射標準的回損(S11, S22)回損是指阻抗不匹配導致反射回信號源的輸入功率。無論PCB走線的設計多麼好,總是存在一定程度的不匹配。大多數PCB製造商隻能保證5%的阻抗匹配精度,甚至達到這一精度也是勉為其難。這種回損會導致VNA指示的插入損耗大於實際存在的插入損耗,因為VNA"認為"它向DUT發送了比實際發送量更大的功率。
隨著要求的插入損耗水平的降低,將有必要減少透射標準貢獻給校準的回損量。而測量頻率越高,就越難以做到這一點。
要減少TRL設計的校準標準的回損,有幾點需要特別注意。首先,傳輸線路設計非常重要,需要與PCB製造商密切協調,確保使用正確的設計、材(cai)料(liao)和(he)工(gong)藝(yi)來(lai)實(shi)現(xian)所(suo)需(xu)的(de)阻(zu)抗(kang)與(yu)頻(pin)率(lv)曲(qu)線(xian)。連(lian)接(jie)器(qi)件(jian)的(de)選(xuan)擇(ze)至(zhi)關(guan)重(zhong)要(yao),必(bi)須(xu)能(neng)夠(gou)在(zai)相(xiang)關(guan)範(fan)圍(wei)內(nei)滿(man)意(yi)地(di)工(gong)作(zuo)。選(xuan)定(ding)連(lian)接(jie)器(qi)件(jian)後(hou),還(hai)有(you)必(bi)要(yao)確(que)保(bao)連(lian)接(jie)器(qi)與(yu)PCB之間的結點設計良好,如若不然,它可能會破壞同軸電纜與PCB傳輸線路之間所需的50 Ω阻抗,導致係統回損增大。許多連接器製造商都會提供高頻連接器的正確布局布線圖紙,以及預設計的傳輸線路設計和PCB堆疊。找到一家能按此設計生產的PCB製造商可以大大簡化PCB設計工作。
其次需要考慮PCB的裝配連接器與PCB傳(chuan)輸(shu)線(xian)路(lu)之(zhi)間(jian)的(de)結(jie)點(dian)至(zhi)關(guan)重(zhong)要(yao),因(yin)此(ci)連(lian)接(jie)器(qi)的(de)焊(han)接(jie)會(hui)對(dui)過(guo)渡(du)產(chan)生(sheng)重(zhong)大(da)影(ying)響(xiang)。連(lian)接(jie)不(bu)良(liang)或(huo)未(wei)對(dui)齊(qi)的(de)連(lian)接(jie)器(qi)會(hui)破(po)壞(huai)電(dian)感(gan)和(he)電(dian)容(rong)之(zhi)間(jian)的(de)微(wei)妙(miao)平(ping)衡(heng),從(cong)而(er)影(ying)響(xiang)結(jie)點(dian)的(de)阻(zu)抗(kang)。圖(tu)5是一個焊接不良的連接器結點示例。

圖5. 連接不良的SMA
如果設計程序沒有考慮阻焊膜塗層的介電常數,則它也可能會對傳輸線路的阻抗產生不利影響。在低頻PCB中,這不是一個大問題,但隨著頻率提高,阻焊膜可能會帶來麻煩。
為了確保透射走線的回損是可接受的,有必要利用VNA測量回損。因為係統的參考平麵是從連接器到連接器,所以SOLT校準應當足以測量透射走線。一旦確定透射走線的回損性能,就可以通過在走線上執行TDR來監視缺陷。TDR會顯示係統與目標阻抗偏差最大的區域。
在TDR曲線上,應當可以標出係統中對偏差貢獻最大的具體部分。圖6所示為一條傳輸線路走線及其對應的TDR曲線。可以在TDR曲線上定位某些部分的阻抗,從而明白哪些部分造成了最大的回損。從圖中可以看出,SMA與傳輸線路之間的結點偏離50 Ω,並且傳輸線路本身的阻抗也不是很接近50 Ω。為了改善該PCB的性能,需要采取上麵所說的一些措施。

圖6. PCB與TDR曲線
使用S參數
在某一頻率範圍內表征一個DUT時,S參數可以提供許多好處。除了顯示某一頻率時的增益、損耗或阻抗匹配以外,還可以用Y參數(導納參數)等其它形式替換S參數,以便計算電容等物理參數。Y參數與S參數的唯一區別在於:前者是在目標引腳短路(0 Ω)情況下導出的(公式5到8),而後者則是在匹配50 Ω端接阻抗情況下導出的。可以對Y參數進行實際測量,但它比S參數更難以記錄,因為在寬頻率範圍內造成真正的短路非常困難。由於寬帶50 Ω匹配更容易做到,因此更好的方法是記錄S參數,然後將S參數轉換成Y參數。大部分現代RF軟件包都可以實現這一點。
計算物理參數
下麵舉一個利用S參數來計算目標頻率範圍內電容的例子,考慮圖1所示的RF繼電器。當繼電器開路(即, 斷開),時,為了計算繼電器到地的電容,首先必須將S參數記錄轉換為Y參數,也就是將50 Ωhuanjingxiadeshujuzhuanhuanweiduanluduanjieqingkuangxiadeshuju。congjidianqidewulijiegoukeyimingxiankanchu,dangshuchuduankoujiedibingqiekaiguanduankaishi,zhididedianrongkeyitongguojianzha Y11參數而得知,Y11衡量送回信號源的功率量。當開關斷開時,所有功率都應被反射回信號源,但實際上,某些功率會到達接地(Y參數定義的要求)的輸出端口,該功率通過電容傳輸到地。因此,將Y11參數的虛部除以2πf 便得到目標頻率時RF繼電器到地的電容。
若要計算RF繼電器的電感,可以使用類似的方法,但此時需要用Z(阻抗)參數代替Y參數。Z參數與S參數和Y參(can)數(shu)相(xiang)似(si),不(bu)過(guo)它(ta)不(bu)是(shi)使(shi)用(yong)阻(zu)抗(kang)匹(pi)配(pei)或(huo)短(duan)路(lu),而(er)是(shi)使(shi)用(yong)開(kai)路(lu)來(lai)定(ding)義(yi)端(duan)接(jie)。略(lve)加(jia)考(kao)慮(lv)便(bian)可(ke)將(jiang)此(ci)方(fang)法(fa)應(ying)用(yong)於(yu)所(suo)有(you)器(qi)件(jian),以(yi)計(ji)算(suan)多(duo)種(zhong)不(bu)同(tong)的(de)物(wu)理(li)參(can)數(shu)。
匹配網絡
S參數的另一個應用是匹配網絡的設計。許多應用要求阻抗匹配以確保在某一頻率實現最佳的功率傳輸。利用S參數,可以測量器件的輸入和輸出阻抗,然後可以在史密斯圖上顯示S參數,並設計適當的匹配網絡。
為客戶提供模型
如上所述,由於S參數廣泛適用,因此可以利用S參can數shu文wen件jian向xiang用yong戶hu提ti供gong線xian性xing電dian路lu的de輸shu入ru輸shu出chu信xin息xi,並bing完wan整zheng描miao述shu寬kuan頻pin率lv範fan圍wei內nei器qi件jian的de特te性xing,而er無wu需xu披pi露lu複fu雜za或huo者zhe專zhuan有you的de設she計ji。客ke戶hu可ke以yi按an照zhao與yu上shang麵mian所suo述shu類lei似si的de方fang法fa,利li用yongS參數在其係統中構建器件模型。
結束語
S參數是創建和驗證寬帶寬的高頻模型的有用工具。一旦記錄下來,便可以利用S參(can)數(shu)計(ji)算(suan)許(xu)多(duo)其(qi)它(ta)電(dian)路(lu)特(te)性(xing),以(yi)及(ji)創(chuang)建(jian)匹(pi)配(pei)網(wang)絡(luo)。然(ran)而(er),設(she)計(ji)測(ce)量(liang)係(xi)統(tong)時(shi),必(bi)須(xu)考(kao)慮(lv)一(yi)些(xie)必(bi)要(yao)的(de)注(zhu)意(yi)事(shi)項(xiang),其(qi)中(zhong)最(zui)重(zhong)要(yao)的(de)是(shi)校(xiao)準(zhun)方(fang)法(fa)的(de)選(xuan)擇(ze)和(he)PCB設計。通過采取本文所述的措施,可以避免某些潛在的問題。
參考電路
Rako, Paul. “TDR: taking the pulse of signal integrity.” EDN, September 3, 2007.
Bowick, Chris, John Blyler, and Cheryl Ajluni. RF Circuit Design. Newnes. 2007.
推薦閱讀:
特別推薦
- 噪聲中提取真值!瑞盟科技推出MSA2240電流檢測芯片賦能多元高端測量場景
- 10MHz高頻運行!氮矽科技發布集成驅動GaN芯片,助力電源能效再攀新高
- 失真度僅0.002%!力芯微推出超低內阻、超低失真4PST模擬開關
- 一“芯”雙電!聖邦微電子發布雙輸出電源芯片,簡化AFE與音頻設計
- 一機適配萬端:金升陽推出1200W可編程電源,賦能高端裝備製造
技術文章更多>>
- 築基AI4S:摩爾線程全功能GPU加速中國生命科學自主生態
- 一秒檢測,成本降至萬分之一,光引科技把幾十萬的台式光譜儀“搬”到了手腕上
- AI服務器電源機櫃Power Rack HVDC MW級測試方案
- 突破工藝邊界,奎芯科技LPDDR5X IP矽驗證通過,速率達9600Mbps
- 通過直接、準確、自動測量超低範圍的氯殘留來推動反滲透膜保護
技術白皮書下載更多>>
- 車規與基於V2X的車輛協同主動避撞技術展望
- 數字隔離助力新能源汽車安全隔離的新挑戰
- 汽車模塊拋負載的解決方案
- 車用連接器的安全創新應用
- Melexis Actuators Business Unit
- Position / Current Sensors - Triaxis Hall
熱門搜索



