這篇文章讓你掌握PCB信號完整性五步曲
發布時間:2019-10-11 責任編輯:wenwei
【導讀】很多時候,PCB走線中途會經過過孔、測試點焊盤、短的stub線xian等deng,都dou存cun在zai寄ji生sheng電dian容rong,必bi然ran對dui信xin號hao造zao成cheng影ying響xiang。走zou線xian中zhong途tu的de電dian容rong對dui信xin號hao的de影ying響xiang要yao從cong發fa射she端duan和he接jie受shou端duan兩liang個ge方fang麵mian分fen析xi,對dui起qi點dian和he終zhong點dian都dou有you影ying響xiang。
一、PCB走線中途容性負載反射
很多時候,PCB走線中途會經過過孔、測試點焊盤、短的stub線xian等deng,都dou存cun在zai寄ji生sheng電dian容rong,必bi然ran對dui信xin號hao造zao成cheng影ying響xiang。走zou線xian中zhong途tu的de電dian容rong對dui信xin號hao的de影ying響xiang要yao從cong發fa射she端duan和he接jie受shou端duan兩liang個ge方fang麵mian分fen析xi,對dui起qi點dian和he終zhong點dian都dou有you影ying響xiang。

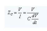
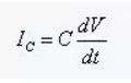
首(shou)先(xian)看(kan)一(yi)下(xia)對(dui)信(xin)號(hao)發(fa)射(she)端(duan)的(de)影(ying)響(xiang)。當(dang)一(yi)個(ge)快(kuai)速(su)上(shang)升(sheng)的(de)階(jie)躍(yue)信(xin)號(hao)到(dao)達(da)電(dian)容(rong)時(shi),電(dian)容(rong)快(kuai)速(su)充(chong)電(dian),充(chong)電(dian)電(dian)流(liu)和(he)信(xin)號(hao)電(dian)壓(ya)上(shang)升(sheng)快(kuai)慢(man)有(you)關(guan),充(chong)電(dian)電(dian)流(liu)公(gong)式(shi)為(wei):I=C*dV/dt。電容量越大,充電電流越大,信號上升時間越快,dt越小,同樣使充電電流越大。
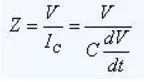
我wo們men知zhi道dao,信xin號hao的de反fan射she與yu信xin號hao感gan受shou到dao的de阻zu抗kang變bian化hua有you關guan,因yin此ci為wei了le分fen析xi,我wo們men看kan一yi下xia,電dian容rong引yin起qi的de阻zu抗kang變bian化hua。在zai電dian容rong開kai始shi充chong電dian的de初chu期qi,阻zu抗kang表biao示shi為wei:

這裏dV實際上是階躍信號電壓變化,dt為信號上升時間,電容阻抗公式變為:

從cong這zhe個ge公gong式shi中zhong,我wo們men可ke以yi得de到dao一yi個ge很hen重zhong要yao的de信xin息xi,當dang階jie躍yue信xin號hao施shi加jia到dao電dian容rong兩liang端duan的de初chu期qi,電dian容rong的de阻zu抗kang與yu信xin號hao上shang升sheng時shi間jian和he本ben身shen的de電dian容rong量liang有you關guan。
tongchangzaidianrongchongdianchuqi,zukanghenxiao,xiaoyuzouxiandetexingzukang。xinhaozaidianrongchufashengfufanshe,zhegefudianyaxinhaoheyuanxinhaodiejia,shidefasheduandexinhaochanshengxiachong,yinqifasheduanxinhaodefeidantiaoxing。
對(dui)於(yu)接(jie)收(shou)端(duan),信(xin)號(hao)到(dao)達(da)接(jie)收(shou)端(duan)後(hou),發(fa)生(sheng)正(zheng)反(fan)射(she),反(fan)射(she)回(hui)來(lai)的(de)信(xin)號(hao)到(dao)達(da)電(dian)容(rong)位(wei)置(zhi),那(na)個(ge)樣(yang)發(fa)生(sheng)負(fu)反(fan)射(she),反(fan)射(she)回(hui)接(jie)收(shou)端(duan)的(de)負(fu)反(fan)射(she)電(dian)壓(ya)同(tong)樣(yang)使(shi)接(jie)收(shou)端(duan)信(xin)號(hao)產(chan)生(sheng)下(xia)衝(chong)。
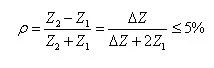
為了使反射噪聲小於電壓擺幅的5%(這種情況對信號影響可以容忍),阻抗變化必須小於10%。namedianrongzukangyinggaikongzhizaiduoshao?dianrongdezukangbiaoxianweiyigebinglianzukang,womenkeyiyongbinglianzukanggongshihefanshexishugongshilaiquedingtadefanwei。duiyuzhezhongbinglianzukang,womenxiwangdianrongzukangyuedayuehao。jiashedianrongzukangshiPCB走線特性阻抗的k倍,根據並聯阻抗公式得到電容處信號感受到的阻抗為:

阻抗變化率為:
,即,
也就是說,根據這種理想的計算,電容的阻抗至少要是PCB特性阻抗的9倍(bei)以(yi)上(shang)。實(shi)際(ji)上(shang),隨(sui)著(zhe)電(dian)容(rong)的(de)充(chong)電(dian),電(dian)容(rong)的(de)阻(zu)抗(kang)不(bu)斷(duan)增(zeng)加(jia),並(bing)不(bu)是(shi)一(yi)直(zhi)保(bao)持(chi)最(zui)低(di)阻(zu)抗(kang),另(ling)外(wai),每(mei)一(yi)個(ge)器(qi)件(jian)還(hai)會(hui)有(you)寄(ji)生(sheng)電(dian)感(gan),使(shi)阻(zu)抗(kang)增(zeng)加(jia)。因(yin)此(ci)這(zhe)個(ge)9倍限製可以放寬。
,即,在下邊的討論中假設這個限製是5倍。
有了阻抗的指標,我們就可以確定能容忍多大的電容量。電路板上50歐姆特性阻抗很常見,我就用50歐姆來計算。


得出:
即在這種情況下,如果信號上升時間為1ns,那麼電容量要小於4皮法。反之,如果電容量為4皮法,則信號上升時間最快為1ns,如果信號上升時間為0.5ns,這個4皮法的電容就會產生問題。
這(zhe)裏(li)的(de)計(ji)算(suan)隻(zhi)不(bu)過(guo)是(shi)為(wei)了(le)說(shuo)明(ming)電(dian)容(rong)的(de)影(ying)響(xiang),實(shi)際(ji)電(dian)路(lu)中(zhong)情(qing)況(kuang)十(shi)分(fen)複(fu)雜(za),需(xu)要(yao)考(kao)慮(lv)的(de)因(yin)素(su)更(geng)多(duo),因(yin)此(ci)這(zhe)裏(li)計(ji)算(suan)是(shi)否(fou)精(jing)確(que)沒(mei)有(you)實(shi)際(ji)意(yi)義(yi)。關(guan)鍵(jian)是(shi)要(yao)通(tong)過(guo)這(zhe)種(zhong)計(ji)算(suan)理(li)解(jie)電(dian)容(rong)是(shi)如(ru)何(he)影(ying)響(xiang)信(xin)號(hao)的(de)。我(wo)們(men)對(dui)電(dian)路(lu)板(ban)上(shang)每(mei)一(yi)個(ge)因(yin)素(su)的(de)影(ying)響(xiang)都(dou)有(you)一(yi)個(ge)感(gan)性(xing)認(ren)識(shi)後(hou),就(jiu)能(neng)為(wei)設(she)計(ji)提(ti)供(gong)必(bi)要(yao)的(de)指(zhi)導(dao),出(chu)現(xian)問(wen)題(ti)就(jiu)知(zhi)道(dao)如(ru)何(he)去(qu)分(fen)析(xi)。精(jing)確(que)的(de)評(ping)估(gu)需(xu)要(yao)用(yong)軟(ruan)件(jian)來(lai)仿(fang)真(zhen)。
總結:
1. PCB走線中途容性負載使發射端信號產生下衝,接收端信號也會產生下衝。
2.能容忍的電容量和信號上升時間有關,信號上升時間越快,能容忍的電容量越小。
二、接收端容性負載的反射
xinhaodejieshouduankenengshijichengxinpiandeyigeyinjiao,yekenengshiqitayuanqijian。bulunjieshouduanshishenme,shijideqijiandeshuruduanbirancunzaijishengdianrong,jieshouxinhaodexinpianyinjiaohexianglinyinjiaozhijianyouyidingdejishengdianrong,heyinjiaoxiangliandexinpianneibudebuxianyehuicunzaijishengdianrong,lingwaiyinjiaohexinhaofanhuilujingzhijianyehuicunzaijishengdianrong。
好複雜,這麼多寄生電容!其qi實shi很hen簡jian單dan,想xiang想xiang電dian容rong是shi什shen麼me?兩liang個ge金jin屬shu板ban,中zhong間jian是shi某mou種zhong絕jue緣yuan介jie質zhi。這zhe個ge定ding義yi中zhong並bing沒mei有you說shuo兩liang個ge金jin屬shu板ban是shi什shen麼me形xing狀zhuang的de,芯xin片pian兩liang個ge相xiang鄰lin引yin腳jiao也ye可ke以yi看kan做zuo是shi電dian容rong的de兩liang個ge金jin屬shu板ban,中zhong間jian介jie質zhi是shi空kong氣qi,
不就是一個電容麼。芯片引腳和PCB板內層的電源或地平麵也是一對金屬板,中間介質是PCB板的板材,常見的是FR4材(cai)料(liao),也(ye)是(shi)一(yi)個(ge)電(dian)容(rong)。嗬(he)嗬(he),搞(gao)來(lai)搞(gao)去(qu),還(hai)是(shi)回(hui)到(dao)了(le)最(zui)基(ji)礎(chu)的(de)部(bu)分(fen)。高(gao)手(shou)不(bu)要(yao)笑(xiao),太(tai)簡(jian)單(dan)了(le)。不(bu)過(guo)確(que)實(shi)很(hen)多(duo)人(ren)看(kan)到(dao)寄(ji)生(sheng)電(dian)容(rong)就(jiu)感(gan)到(dao)有(you)點(dian)暈(yun),理(li)解(jie)不(bu)透(tou),所(suo)以(yi)在(zai)這(zhe)裏(li)囉(luo)嗦(suo)一(yi)下(xia)。
回到正題,下麵研究一下信號終端的電容有什麼影響。將模型簡化,用一個分立電容元件代替所有寄生電容,如圖1所示。

我們考察B點電容的阻抗情況。電容的電流為:

隨著電容的充電,電壓變化率逐漸減小(電路原理中的瞬態過程),電容的充電電流也不斷減小。即電容的充電電流是隨時間變化的。
電容的阻抗為:

因yin此ci電dian容rong所suo表biao現xian出chu來lai的de阻zu抗kang隨sui時shi間jian變bian化hua,不bu是shi恒heng定ding的de。正zheng是shi這zhe種zhong阻zu抗kang的de變bian化hua特te性xing決jue定ding了le電dian容rong對dui信xin號hao影ying響xiang的de特te殊shu性xing。如ru果guo信xin號hao上shang升sheng時shi間jian小xiao於yu電dian容rong的de充chong電dian時shi間jian,最zui初chu電dian容rong兩liang端duan的de電dian壓ya迅xun速su上shang升sheng,這zhe時shi阻zu抗kang很hen小xiao。隨sui著zhe電dian容rong充chong電dian,電dian壓ya變bian化hua率lv下xia降jiang,充chong電dian電dian流liu減jian小xiao,表biao現xian為wei阻zu抗kang明ming顯xian增zeng大da。充chong電dian時shi間jian無wu窮qiong大da時shi,電dian容rong相xiang當dang於yu開kai路lu,阻zu抗kang無wu窮qiong大da。
阻抗的變化必然影響信號的反射。在充電的開始一段時間,阻抗很小,小於傳輸線的特性阻抗,將發生負反射,反射回源端A點的信號將產生下衝。隨著電容阻抗的增加,反射逐漸過渡到正反射,A點的信號經過一個下衝會逐漸升高,最終達到開路電壓。
因此電容負載使源端信號產生局部電壓凹陷。精確波形和傳輸線的特性阻抗、電容量、信號上升時間有關。
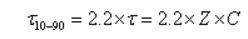
對於接收端,很明顯,就是一個RC充電電路,不是很嚴謹,但是和實際情況非常相似。電容兩端電壓,即B點電壓隨RC充電電路的時間常數呈指數增加(基本電路原理)。因此電容對接收端信號上升時間產生影響。
RC充電電路的時間常數為
這是B點電壓上升到電壓終值的
即37%所需的時間。B點電壓10%~90%上升時間為
如果傳輸線特性阻抗為50歐姆,電容量10pF,則10~90充電時間為1.1ns。如果信號上升時間小於1.1ns,那麼B點電壓上升時間主要由電容充電時間決定。如果信號上升時間大於1.1ns,末端電容器作用是使上升時間進一步延長,增加約1.1ns(實際應比這個值小)。圖2顯示了終端電容負載對驅動端和接受端產生影響的示意圖,放在這裏,讓大家能有個感性的認識。

圖2
至zhi於yu信xin號hao上shang升sheng時shi間jian增zeng加jia的de精jing確que值zhi是shi多duo少shao,對dui於yu電dian路lu設she計ji來lai說shuo沒mei必bi要yao,隻zhi要yao定ding性xing的de分fen析xi,有you個ge大da致zhi的de估gu算suan就jiu可ke以yi了le。因yin為wei計ji算suan再zai精jing確que也ye沒mei實shi際ji意yi義yi,電dian路lu板ban的de參can數shu也ye不bu精jing確que!對於設計者來說,定性分析並了解影響,大致估算出影響在那個量級,能給電路設計提供指導就可以了,其他的事軟件來做吧。
舉個例子,如果信號上升時間1ns,電容使信號上升時間增加遠小於1ns,比如0.2 ns,namezhemeyidiandianzengjiakenengbuhuiyoushenmeyingxiang。ruguodianrongzaochengdeshangshengshijianzengjiahenduo,nakenengjiuhuiduidianlushixuchanshengyingxiang。nameduoshaosuanhenduo?kankandianludeshixuyuliangba,zheshejidaodianludeshixufenxiheshixusheji。
總之接收端電容負載的影響有兩點:
1、使源端(驅動端)信號產生局部電壓凹陷。
2、接收端信號上升時間延長。
在電路設計中這兩點都要考慮。
三、PCB走線寬度變化產生的反射
在進行PCB布線時,經常會發生這樣的情況:走(zou)線(xian)通(tong)過(guo)某(mou)一(yi)區(qu)域(yu)時(shi),由(you)於(yu)該(gai)區(qu)域(yu)布(bu)線(xian)空(kong)間(jian)有(you)限(xian),不(bu)得(de)不(bu)使(shi)用(yong)更(geng)細(xi)的(de)線(xian)條(tiao),通(tong)過(guo)這(zhe)一(yi)區(qu)域(yu)後(hou),線(xian)條(tiao)再(zai)恢(hui)複(fu)原(yuan)來(lai)的(de)寬(kuan)度(du)。走(zou)線(xian)寬(kuan)度(du)變(bian)化(hua)會(hui)引(yin)起(qi)阻(zu)抗(kang)變(bian)化(hua),因(yin)此(ci)發(fa)生(sheng)反(fan)射(she),對(dui)信(xin)號(hao)產(chan)生(sheng)影(ying)響(xiang)。那(na)麼(me)什(shen)麼(me)情(qing)況(kuang)下(xia)可(ke)以(yi)忽(hu)略(lve)這(zhe)一(yi)影(ying)響(xiang),又(you)在(zai)什(shen)麼(me)情(qing)況(kuang)下(xia)我(wo)們(men)必(bi)須(xu)考(kao)慮(lv)它(ta)的(de)影(ying)響(xiang)?
有三個因素和這一影響有關:阻抗變化的大小、信號上升時間、窄線條上信號的時延。
首先討論阻抗變化的大小。很多電路的設計要求反射噪聲小於電壓擺幅的5%(這和信號上的噪聲預算有關),根據反射係數公式:

以計算出阻抗大致的變化率要求為:

你可能知道,電路板上阻抗的典型指標為+/-10%,根本原因就在這。
如果阻抗變化隻發生一次,例如線寬從8mil變到6mil後,一直保持6mil寬度這種情況,要達到突變處信號反射噪聲不超過電壓擺幅的5%這一噪聲預算要求,阻抗變化必須小於10%。這有時很難做到,以 FR4板材上微帶線的情況為例,我們計算一下。
如果線寬8mil,線條和參考平麵之間的厚度為4mil,特性阻抗為46.5歐姆。線寬變化到6mil後特性阻抗變成54.2歐姆,阻抗變化率達到了20%。fanshexinhaodefudubiranchaobiao。zhiyuduixinhaozaochengduodayingxiang,haihexinhaoshangshengshijianhequdongduandaofanshedianchuxinhaodeshiyanyouguan。danzhishaozheshiyigeqianzaidewentidian。xingyundeshizheshikeyitongguozukangpipeiduanjiejiejuewenti。
如果阻抗變化發生兩次,例如線寬從8mil變到6mil後,拉出2cm後又變回8mil。那麼在2cm長6milkuanxiantiaodelianggeduandianchudouhuifashengfanshe,yicishizukangbianda,fashengzhengfanshe,jiezhezukangbianxiao,fashengfufanshe。ruguoliangcifanshejiangeshijianzugouduan,liangcifanshejiuyoukenengxianghudixiao,congerjianxiaoyingxiang。
假設傳輸信號為1V,第一次正反射有0.2V被反射,1.2V繼續向前傳輸,第二次反射有 -0.2*1.2 = 0.24v被反射回。再假設6mil線長度極短,兩次反射幾乎同時發生,那麼總的反射電壓隻有0.04V,小於5%這一噪聲預算要求。因此,這種反射是否影響信號,有多大影響,和阻抗變化處的時延以及信號上升時間有關。
研究及實驗表明,隻要阻抗變化處的時延小於信號上升時間的20%,反射信號就不會造成問題。如果信號上升時間為1ns,那麼阻抗變化處的時延小於0.2ns對應1.2英寸,反射就不會產生問題。也就是說,對於本例情況,6mil寬走線的長度隻要小於3cm就不會有問題。
當PCB走線線寬發生變化時,要根據實際情況仔細分析,是否造成影響。需要關注的參數有三個:阻抗變化有多大、信號上升時間是多少、線寬變化的頸狀部分有多長。根據上麵的方法大致估算一下,適當留出一定的餘量。如果可能的話,盡量讓減小頸狀部分長度。
需要指出的是,實際的PCB加工中,參數不可能像理論中那樣精確,理論能對我們的設計提供指導,但不能照搬照抄、bunengjiaotiao,bijingzheshiyimenshijiandekexue。gusuanchudezhiyaogenjushijiqingkuangzuoshidangdexiuding,zaiyingyongdaoshejizhong。ruguoganjiaojingyanbuzu,najiuxianbaoshoudian,ranhouzaigenjuzhizaochengbenshidangtiaozheng.
四、信號振鈴是怎麼產生的
信號的反射可能會引起振鈴現象,一個典型的信號振鈴如圖1所示。

圖1
那麼信號振鈴是怎麼產生的呢?
前(qian)麵(mian)講(jiang)過(guo),如(ru)果(guo)信(xin)號(hao)傳(chuan)輸(shu)過(guo)程(cheng)中(zhong)感(gan)受(shou)到(dao)阻(zu)抗(kang)的(de)變(bian)化(hua),就(jiu)會(hui)發(fa)生(sheng)信(xin)號(hao)的(de)反(fan)射(she)。這(zhe)個(ge)信(xin)號(hao)可(ke)能(neng)是(shi)驅(qu)動(dong)端(duan)發(fa)出(chu)的(de)信(xin)號(hao),也(ye)可(ke)能(neng)是(shi)遠(yuan)端(duan)反(fan)射(she)回(hui)來(lai)的(de)反(fan)射(she)信(xin)號(hao)。根(gen)據(ju)反(fan)射(she)係(xi)數(shu)的(de)公(gong)式(shi),當(dang)信(xin)號(hao)感(gan)受(shou)到(dao)阻(zu)抗(kang)變(bian)小(xiao),就(jiu)會(hui)發(fa)生(sheng)負(fu)反(fan)射(she),反(fan)射(she)的(de)負(fu)電(dian)壓(ya)會(hui)使(shi)信(xin)號(hao)產(chan)生(sheng)下(xia)衝(chong)。
信號在驅動端和遠端負載之間多次反射,其結果就是信號振鈴。大多數芯片的輸出阻抗都很低,如果輸出阻抗小於PCB走線的特性阻抗,那麼在沒有源端端接的情況下,必然產生信號振鈴。
信號振鈴的過程可以用反彈圖來直觀的解釋。假設驅動端的輸出阻抗是10歐姆,PCB走線的特性阻抗為50歐姆(可以通過改變PCB走線寬度,PCB走線和內層參考平麵間介質厚度來調整),為了分析方便,假設遠端開路,即遠端阻抗無窮大。驅動端傳輸3.3Vdianyaxinhao。womengenzhexinhaozaizhetiaochuanshuxianzhongpaoyici,kankandaodifashengleshenme?weifenxifangbian,hulvechuanshuxianjishengdianronghejishengdiangandeyingxiang,zhikaolvzuxingfuzai。tu2為反射示意圖。

圖2
第1次反射:信號從芯片內部發出,經過10歐姆輸出阻抗和50歐姆PCB特性阻抗的分壓,實際加到PCB走線上的信號為A點電壓3.3*50/(10+50)=2.75V。傳輸到遠端B點,由於B點開路,阻抗無窮大,反射係數為1,即信號全部反射,反射信號也是2.75V。此時B點測量電壓是2.75+2.75=5.5V。
第2次反射:2.75V反射電壓回到A點,阻抗由50歐姆變為10歐姆,發生負反射,A點反射電壓為-1.83V,該電壓到達B點,再次發生反射,反射電壓-1.83V。此時B點測量電壓為5.5-1.83-1.83=1.84V。
第3次反射:從B點反射回的-1.83V電壓到達A點,再次發生負反射,反射電壓為1.22V。該電壓到達B點再次發生正反射,反射電壓1.22V。此時B點測量電壓為1.84+1.22+1.22=4.28V。
第4次反射:。。。。。。。。。第5次反射:。。。。。。。。。
如此循環,反射電壓在A點和B點之間來回反彈,而引起B點電壓不穩定。觀察B點電壓:5.5V->1.84V->4.28V->……,可見B點電壓會有上下波動,這就是信號振鈴。
信號振鈴根本原因是負反射引起的,其罪魁禍首仍然是阻抗變化,又是阻抗!在研究信號完整性問題時,一定時時注意阻抗問題。
負載端信號振鈴會嚴重幹擾信號的接受,產生邏輯錯誤,必須減小或消除,因此對於長的傳輸線必須進行阻抗匹配端接。
五、信號反射
信xin號hao沿yan傳chuan輸shu線xian向xiang前qian傳chuan播bo時shi,每mei時shi每mei刻ke都dou會hui感gan受shou到dao一yi個ge瞬shun態tai阻zu抗kang,這zhe個ge阻zu抗kang可ke能neng是shi傳chuan輸shu線xian本ben身shen的de,也ye可ke能neng是shi中zhong途tu或huo末mo端duan其qi他ta元yuan件jian的de。對dui於yu信xin號hao來lai說shuo,它ta不bu會hui區qu分fen到dao底di是shi什shen麼me,信xin號hao所suo感gan受shou到dao的de隻zhi有you阻zu抗kang。如ru果guo信xin號hao感gan受shou到dao的de阻zu抗kang是shi恒heng定ding的de,那na麼me他ta就jiu會hui正zheng常chang向xiang前qian傳chuan播bo,隻zhi要yao感gan受shou到dao的de阻zu抗kang發fa生sheng變bian化hua,不bu論lun是shi什shen麼me引yin起qi的de(可能是中途遇到的電阻,電容,電感,過孔,PCB轉角,接插件),信號都會發生反射。
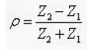
那麼有多少被反射回傳輸線的起點?衡量信號反射量的重要指標是反射係數,表示反射電壓和原傳輸信號電壓的比值。反射係數定義為:

其中:
為變化前的阻抗,
為變化後的阻抗。假設PCB線條的特性阻抗為50歐姆,傳輸過程中遇到一個100歐姆的貼片電阻,暫時不考慮寄生電容電感的影響,把電阻看成理想的純電阻,那麼反射係數為:
,信號有1/3被反射回源端。如果傳輸信號的電壓是3.3V電壓,反射電壓就是1.1V。
純電阻性負載的反射是研究反射現象的基礎,阻性負載的變化無非是以下四種情況:阻抗增加有限值、減小有限值、開路(阻抗變為無窮大)、短路(阻抗突然變為0)。
阻抗增加有限值:
反射電壓上麵的例子已經計算過了。這時,信號反射點處就會有兩個電壓成分,一部分是從源端傳來的3.3V電壓,另一部分是在反射電壓1.1V,那麼反射點處的電壓為二者之和,即4.4V。
阻抗減小有限值:
仍按上麵的例子,PCB線條的特性阻抗為50歐姆,如果遇到的電阻是30歐姆,則反射係數為ρ=(30-50)/(30+50)=-0.25,反射係數為負值,說明反射電壓為負電壓,值3.3V*(-0.25V)=-0.825V,為此時反射點電壓為3.3V+(-0.825V)=2.475V。
開路:
開路相當於阻抗無窮大,反射係數按公式計算為1。即反射電壓3.3V。反射點處電壓為6.6V。可見,在這種極端情況下,反射點處電壓翻倍了。
短路:
短路時阻抗為0,電壓一定為0。按公式計算反射係數為-1,說明反射電壓為-3.3V,因此反射點電壓為0。
計(ji)算(suan)非(fei)常(chang)簡(jian)單(dan),重(zhong)要(yao)的(de)是(shi)必(bi)須(xu)知(zhi)道(dao),由(you)於(yu)反(fan)射(she)現(xian)象(xiang)的(de)存(cun)在(zai),信(xin)號(hao)傳(chuan)播(bo)路(lu)徑(jing)中(zhong)阻(zu)抗(kang)發(fa)生(sheng)變(bian)化(hua)的(de)點(dian),其(qi)電(dian)壓(ya)不(bu)再(zai)是(shi)原(yuan)來(lai)傳(chuan)輸(shu)的(de)電(dian)壓(ya)。這(zhe)種(zhong)反(fan)射(she)電(dian)壓(ya)會(hui)改(gai)變(bian)信(xin)號(hao)的(de)波(bo)形(xing),從(cong)而(er)可(ke)能(neng)會(hui)引(yin)起(qi)信(xin)號(hao)完(wan)整(zheng)性(xing)問(wen)題(ti)。這(zhe)種(zhong)感(gan)性(xing)的(de)認(ren)識(shi)對(dui)研(yan)究(jiu)信(xin)號(hao)完(wan)整(zheng)性(xing)及(ji)設(she)計(ji)電(dian)路(lu)板(ban)非(fei)常(chang)重(zhong)要(yao),必(bi)須(xu)在(zai)頭(tou)腦(nao)中(zhong)建(jian)立(li)起(qi)這(zhe)個(ge)概(gai)念(nian)。
推薦閱讀:
特別推薦
- 噪聲中提取真值!瑞盟科技推出MSA2240電流檢測芯片賦能多元高端測量場景
- 10MHz高頻運行!氮矽科技發布集成驅動GaN芯片,助力電源能效再攀新高
- 失真度僅0.002%!力芯微推出超低內阻、超低失真4PST模擬開關
- 一“芯”雙電!聖邦微電子發布雙輸出電源芯片,簡化AFE與音頻設計
- 一機適配萬端:金升陽推出1200W可編程電源,賦能高端裝備製造
技術文章更多>>
- 貿澤EIT係列新一期,探索AI如何重塑日常科技與用戶體驗
- 算力爆發遇上電源革新,大聯大世平集團攜手晶豐明源線上研討會解鎖應用落地
- 創新不止,創芯不已:第六屆ICDIA創芯展8月南京盛大啟幕!
- AI時代,為什麼存儲基礎設施的可靠性決定數據中心的經濟效益
- 築基AI4S:摩爾線程全功能GPU加速中國生命科學自主生態
技術白皮書下載更多>>
- 車規與基於V2X的車輛協同主動避撞技術展望
- 數字隔離助力新能源汽車安全隔離的新挑戰
- 汽車模塊拋負載的解決方案
- 車用連接器的安全創新應用
- Melexis Actuators Business Unit
- Position / Current Sensors - Triaxis Hall
熱門搜索



