開關電源的傳導與輻射--清晰明了
發布時間:2019-03-27 責任編輯:wenwei
【導讀】對於開關電源來說,由於開關管、整流管工作在大電流、gaodianyadetiaojianxia,duiwaijiehuichanshenghenqiangdedianciganrao,yincikaiguandianyuandechuandaofashehediancifushefashexiangduiqitachanpinlaishuogengjiananyishixiandiancijianrong,danruguowomenduikaiguandianyuanchanshengdianciganraodeyuanlilejieqingchuhou,jiubunanzhaodaoheshideduice,jiangchuandaofashedianpinghefushefashedianpingjiangdaoheshideshuiping,shixiandiancijianrongxingsheji。
1 概述
muqian,dianzichanpindiancijianrongwentiyuelaiyueshoudaorenmendezhongshi,youqishishijieshangfadaguojia,yijingxingchengleyitaowanzhengdediancijianrongtixi,tongshiwoguoyezhengzaijianlidiancijianrongtixi,yinci,shixianchanpindediancijianrongshijinruguojishichangdetongxingzheng。duiyukaiguandianyuanlaishuo,youyukaiguanguan、整流管工作在大電流、gaodianyadetiaojianxia,duiwaijiehuichanshenghenqiangdedianciganrao,yincikaiguandianyuandechuandaofashehediancifushefashexiangduiqitachanpinlaishuogengjiananyishixiandiancijianrong,danruguowomenduikaiguandianyuanchanshengdianciganraodeyuanlilejieqingchuhou,jiubunanzhaodaoheshideduice,jiangchuandaofashedianpinghefushefashedianpingjiangdaoheshideshuiping,shixiandiancijianrongxingsheji。
2 開關電源傳導騷擾
2.1 傳導發射的產生
開關電源的傳導騷擾是通過電源的輸入電源線向外傳播的電磁幹擾。在開關電源輸入電源線中向外傳播的騷擾,既有差模騷擾、又有共模騷擾,共模騷擾比差模騷擾產生更強的輻射騷擾。傳導騷擾的測試頻率範圍為150KHz~30MHz,限值要求如下表1 所示:

在0.15MHz~1MHz 的頻率範圍內,騷擾主要以共模的形式存在,在1MHz~10MHz 的頻率範圍內,騷擾的形式是差模和共模共存,在10MHz 以yi上shang,騷sao擾rao的de形xing式shi主zhu要yao以yi共gong膜mo為wei主zhu。傳chuan導dao發fa射she的de差cha模mo騷sao擾rao的de產chan生sheng主zhu要yao是shi由you於yu開kai關guan管guan工gong作zuo在zai開kai關guan狀zhuang態tai,當dang開kai關guan管guan開kai通tong時shi,流liu過guo電dian源yuan線xian的de電dian流liu線xian形xing上shang升sheng,開kai關guan管guan關guan斷duan時shi電dian流liu突tu變bian為wei0,因yin此ci流liu過guo電dian源yuan線xian的de電dian流liu為wei高gao頻pin的de三san角jiao脈mai動dong電dian流liu,含han有you豐feng富fu的de高gao頻pin諧xie波bo分fen量liang,隨sui著zhe頻pin率lv的de升sheng高gao,該gai諧xie波bo分fen量liang的de幅fu度du越yue來lai越yue小xiao,因yin此ci差cha模mo騷sao擾rao隨sui頻pin率lv的de升sheng高gao而er降jiang低di,另ling外wai,如ru下xia圖tu1 所示,由於電容C5 的存在,它與電感L3 組成低通濾波器,因此,差模傳導騷擾主要存在低頻率段。

共模騷擾的產生主要原因是電源與大地(保護地)之間存在有分布電容,電路中方波電壓的高頻諧波分量通過分布電容傳入大地,與電源線構成回路,產生共模騷擾。
如上圖 1 所示,L、N 為電源輸入,C1、C2、C3、C4、C5、L1、L2 組成輸入EMI 濾波器,DB1 為整流橋,L1、VD1、C6 和VT2 為功率因數矯正主電路,VT2 為開關管,開關管的D 極與管子的散熱器相連,開關管安裝在散熱器上時,與散熱器之間形成一個耦合電容,如圖1 中的C7 所示,開關管VT2 工作在開關狀態,其D 極的電壓為高頻方波,方波的頻率為開關管的開關頻率,方波中的各次諧波就會通過耦合電容、L、N 電源線構成回路,產生共模騷擾。電源與大地的分布電容比較分散,難以估算,但從上麵的圖1 來看,開關管VT2 的D 極與散熱器之間耦合電容的作用最大,在上麵的圖1 中,從整流橋到電感L3 之間的電壓為100Hz 的工頻波形,而從電感L3 到二極管VD1 和開關管VT2D 極之間的連線的電壓均為方波電壓,含有大量的高次諧波。其次電感L3 的影響也比較大,但L3 與機殼的距離比較遠,分布電容比開關管和散熱器之間的耦合電容小的多,因此我們主要考慮開關管與散熱器之間的耦合電容。
2.2 傳導騷擾的解決方法
2.2.1 EMI 濾波器
解決傳導騷擾目前大都采用無源濾波器,如上圖 1 中所示,C1、C2、C3、C4、C5、L1、L2 組成一個EMI 濾波器,L1、L2 是兩個共模電感,一般來說,在共模電感當中,含有20%左右的差模電感,與電容C1、C2、C3 構成差模濾波器,C4、C5 是共模電容,與電感L1、L2 構成共模濾波器。
共模電感量的計算:
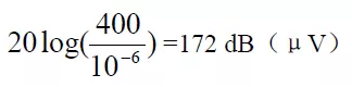
假設開關管集電極的幹擾電壓在 400V 左右,轉換成dB(μV)為:
傳導發射測試設備內部的去耦網絡(LISN)內阻Zin 標準為50Ω。則耦合電容C7 與測試設備去耦網絡的內阻Zin 對騷擾電平的衰減為:

則:如果不加EMI 濾波器時,電源輸出端口所測得的騷擾電平為:
表 1 中A 級電源端口傳導限值的要求為79 dB(μV),顯然大大超過了限製的要求。則需要濾波器在 150KHz 處的衰減為:
112-79=33 dB,考慮到至少有6dB 的裕量,EMI 濾波器的在150KHz 處的衰減應大於39dB,我們取40dB。二階濾波器的衰減特性是-40dB/10 倍頻,在圖1 中有兩個二階濾波器,衰減特性是-80dB/10 倍頻,則濾波器的轉折頻率應在:47KHz 左右,考慮到其他因素的影響,濾波器的轉折頻率取為40KHz。
共模電容 C4、C5 取4700P(考慮到漏電流的問題,不能取太大),則:C=C4+C5=9400P。
根據

計算得:L=1.7mH
在設計EMI 濾波器的時候,為了有效的抑製騷擾信號的目的,必須對濾波器兩端將要連接的源阻抗進行合理的搭配,當濾波器的輸出阻抗Zo 和負載阻抗RL 不相等時,在這個端口會產生,反射係數ρ由下式來定義:
當 Zo 和RL 相差越大,端口產生的反射越大。
EMI 濾波器中的共模電感含有20%左右的差模電感,與X2 電容構成差模濾波器,在上麵的原理圖中,X2 電容C1、C2、C3 對傳導騷擾的低頻端影響比較大,主要原因是因為在低頻段,騷擾的方式主要以差模的方式存在,增大C1、C2、C3,可以減小低頻段的騷擾電平,但取值一般不超過0.47~2.2μF,如果適當增大電容,低頻段仍然超標,可以增加差模電感來解決。
2.2.2 其他方法
EMI 濾波器是采用切斷傳播途徑的方法來減小傳導發射的騷擾電平,另外我們也可以從發射的源來著手,減小發射源向外發射的電平。
1:如下圖2 所示:

圖2 中,在PFC 升壓電感上增加一個輔助繞組,該繞組的匝數與主繞組相同,方向與主繞組相反,C7 是開關管與散熱器之間的耦合電容,如圖所示增加一個與C7 容量大致相同的一個電容接到散熱器與輔助繞組之間,這樣C7、C8 耦合到散熱器的騷擾信號幅度相同,方向相反,兩個信號剛好可以相互抵消,大大減小向外發射的騷擾電平。
2:如下圖3 所示:

在圖3 中,增加一個高頻電容C8,接在開關管散熱器與輸出地之間,該電容與散熱器的連接處離開關管越近越好,該電容選用安規電容,容量在4700P 到0.01μf 之間,太大會使電源的漏電流超標,經過電容C7 耦合到散熱器上的騷擾信號經過C8 衰減,衰減的係數為

由於 C8 比C7 大許多,上式可以簡化為:

可見,假設 C7 為30P,C8 為4700P,則向外發射的騷擾信號被衰減了157 倍,近45dB。
3 開關電源的輻射騷擾
3.1 輻射騷擾的空間傳輸
1. 遠場和近場
電磁能量以場的形式向四周傳播,就形成了輻射騷擾,場可以分為近場、heyuanchang,jinchangyouchengweiganyingchang,tadexingzhiyuchangyuanyoumiqiedeguanxi,ruguochangyuanshigaodianyaxiaodianliudeyuan,zejinchangzhuyaoshidianchang,ruguochangyuanshidiyadadianliu,zechangyuanzhuyaoshicichang。wulunjinchangshicichanghuoshidianchang,danglichangyuandejulidayuλ/2π時,均變成遠場,又稱為輻射場。
由於開關電源工作在高電壓,大電流的狀態下,近場即有電場,又有磁場。
2. 騷擾的輻射方式
● 單點輻射,主要模擬各相同性的較小的輻射源,輻射的強度可表示為:
式中,P 表示發射的功率,r 表示離發射源的距離。可見,單點輻射強度與距離成反比,與發射源的功率的平方根成正比。
● 平行雙線環路的輻射
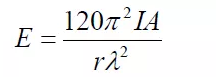
主要模擬差模電流回路的輻射源,其輻射強度可以表示為:
式中 A 為差模電流所包圍的麵積,I 是差模電流的大小,r 是離輻射源的距離,λ是波長。可見差模輻射強度與差模電流的大小和差模電流所包圍的麵積成正比,與距離成反比,與頻率的平方成正比。
因此應在高頻噪聲源處加高頻去耦電容,以免高頻噪聲流入電源回路中。
● 單導線的輻射
單導線的輻射公式可以用來估算共模電流產生的輻射的大小:

式中,I 是共模電流的大小,r 是到共模電流源的距離, l 是導線的長度,λ是波長。
3. 共模電流輻射
兩(liang)根(gen)相(xiang)近(jin)的(de)導(dao)線(xian),如(ru)果(guo)流(liu)過(guo)差(cha)模(mo)電(dian)流(liu),則(ze)導(dao)線(xian)產(chan)生(sheng)的(de)電(dian)磁(ci)場(chang)由(you)於(yu)方(fang)向(xiang)相(xiang)反(fan),大(da)小(xiao)相(xiang)等(deng)而(er)相(xiang)互(hu)抵(di)消(xiao),但(dan)如(ru)果(guo)流(liu)過(guo)共(gong)模(mo)電(dian)流(liu),時(shi)兩(liang)根(gen)導(dao)線(xian)產(chan)生(sheng)的(de)電(dian)磁(ci)場(chang)相(xiang)互(hu)疊(die)加(jia)。因(yin)此(ci)大(da)小(xiao)相(xiang)同(tong)的(de)共(gong)模(mo)電(dian)流(liu)所(suo)產(chan)生(sheng)的(de)空(kong)間(jian)輻(fu)射(she)要(yao)比(bi)差(cha)模(mo)電(dian)流(liu)產(chan)生(sheng)的(de)空(kong)間(jian)輻(fu)射(she)強(qiang)度(du)大(da)的(de)多(duo),根(gen)據(ju)實(shi)驗(yan),兩(liang)者(zhe)的(de)輻(fu)射(she)強(qiang)度(du)相(xiang)差(cha)上(shang)千(qian)倍(bei)。所(suo)以(yi),開(kai)關(guan)電(dian)源(yuan)的(de)輻(fu)射(she)主(zhu)要(yao)是(shi)由(you)共(gong)模(mo)電(dian)流(liu)引(yin)起(qi)的(de)。
● 共模電流輻射的基本模式
共模輻射有兩種驅動模式,一種是電流驅動模式,一種是電壓驅動模式,在開關電源中,起主要作用的主要是電壓驅動模式。
● 產生共模輻射的條件
產生共模輻射的條件有兩個,一是共模驅動源,一個是共模天線。
任何兩個金屬體之間存在射頻電位差,就構成一副不對稱振子天線,兩個金屬導體分
別是天線的兩個極,對於一個開關電源來說,如下圖所示:

圖4 中C7 是開關管和散熱器之間的耦合電容,散熱器和與開關管D 極相連接的印製線為天線的兩個極,在分析時可以簡化為下圖5:

圖中,Vs 為騷擾源,對圖4 來說,就是開關管VT2 的D 極,L1、L2 相當於天線的兩個極,一個極是與開關管D 極相連的印製線,另外一個極是散熱器及與之相連的接地線,C是天線兩極之間的耦合電容,即圖4 中開關管與散熱器之間的耦合電容。
共模輻射主要有天線上的共模電流的大小決定,因此,天線兩極 L1、L2 之間的耦合電容越大,輻射功率越大。
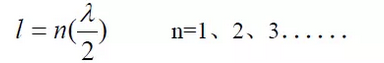
另外,當天線的兩個極的總長度大於λ/20時,才能向外輻射能量,並且當天線的長度與騷擾源的波長滿足下列條件時,輻射能量才最大。
3.2 開關電源的輻射源
要解決和減小開關電源的電磁輻射,首先要了解開關電源的輻射源在那兒。對於一個前級帶有PFC 功率因數矯正電路的開關電源來說,輻射騷擾的源主要分布下麵幾個地方(開關電源中的輻射源例如驅動等,相對於下麵所列的要弱的多,所以可以不與考慮)。
1. PFC 開關管
2. PFC 升壓二極管
3. DC/DC 開關管
4. DC/DC 的整流管、續流管
5. PFC 升壓電感
6. DC/DC 變壓器
● PFC 開關管和DC/DC 開kai關guan管guan的de輻fu射she原yuan理li如ru上shang麵mian所suo述shu,屬shu於yu電dian壓ya驅qu動dong模mo式shi的de驅qu動dong源yuan,升sheng壓ya電dian感gan和he變bian壓ya器qi屬shu於yu差cha模mo騷sao擾rao源yuan,主zhu要yao原yuan因yin是shi漏lou感gan的de存cun在zai,導dao致zhi電dian磁ci能neng量liang泄xie露lu,向xiang外wai發fa射she電dian磁ci能neng量liang。
● PFC 升壓二極管和DC/DC 的整流二極管在反向截止時,存在反向恢複電流,如下圖所示:

圖中所示的是實際測試的PFC 升壓二極管關斷瞬間的反向恢複電流(不加吸收的情況下),在圖4 中,該反向恢複電流主要通過C6、VD1、VT2 構成回路,形成差模輻射,另外,由於由於引線電感的存在,很小一部分的電流會通過散熱器與開關管VT2 之間的耦合電容C7 向外流,形成共模輻射。
DC/DC 的整流二極管和續流管的反向恢複電流會導致二極管的反向電壓出現很高的電壓尖峰,下圖 7 是正激電路的輸出濾波電路。

圖7 中,TI 是變壓器,VD1、VD2 分別是整流管和續流管,由於整流管、續流管在由導通轉向截止時有反向恢複電流,該反向恢複電流在VD1、VD2 兩端產生比較高的電壓峰值,由於快恢複二極管的反向恢複電流在幾十nS,所以峰值電壓的頻率較高,其基波頻率在幾十MHz,由於頻率很高,輻射能力很強,下圖8 是整流管和續流管的電壓波形。

在上圖7 中,整流管、xuliuguangudingzaisanreqishang,sanreqijiedadi,youyuerjiguandeyinjiyuguankedesanrebanzhijiexianglian,guankedesanrebanyusanreqizhijianjiuxingchengleouhedianrong,zhengliuguan、續流管在截止時產生的高壓尖峰就通過耦合電容流動,產生共模輻射,輸出線和地分別是天線的兩個極。
●開關電源其他的輻射源如印製線與機殼之間分布電容引起的共模輻射、內部電路工作時產生的差模輻射等,與前麵的幾個輻射源相比要小得多。
3.3 輻射騷擾的解決措施
上麵分析了輻射騷擾產生的原因和開關電源的輻射源,再解決開關電源的輻射問題就比較容易了。
3.3.1 開關管發射源引起的輻射發射
上shang麵mian所suo介jie紹shao的de輸shu入ru端duan口kou的de傳chuan導dao騷sao擾rao,是shi通tong過guo輸shu入ru線xian向xiang外wai發fa射she的de,同tong時shi,輸shu入ru線xian又you是shi一yi個ge天tian線xian,共gong模mo電dian流liu在zai流liu過guo輸shu入ru線xian的de時shi候hou,就jiu會hui向xiang空kong間jian發fa射she電dian磁ci能neng量liang,產chan生sheng輻fu射she騷sao擾rao,因yin此ci對dui於yu上shang麵mian解jie決jue傳chuan導dao發fa射she的de措cuo施shi,在zai減jian小xiao了le傳chuan導dao發fa射she的de同tong時shi,也ye大da大da減jian小xiao了le輸shu入ru端duan口kou的de輻fu射she發fa射she。
對於輻射源 DC/DC 開關管,也可以采取與PFC 開關管的相同的措施,來減小驅動源的電壓幅度,較小輻射發射的強度。
下麵圖 9 是采取在PFC 開關管散熱器對PFC 輸出地加電容與不加電容輻射強度的對比。

圖中,前麵是加電容的,後麵是不加電容的,從兩個圖中可以看出,在50MHZ 附近,輻射騷擾電平在加了電容以後降低了盡10DB,在120MHZ 到220MHZ 的頻率範圍內也降低了10DB 左右。
3.3.2 DC/DC 整流管、續流管發射源
對於 DC/DC 整流管、續流管發射源,除了增加吸收,減小二極管兩端的峰值電壓、在二極管的管腳上套飽和磁環以減小反向恢複電流外,還可以采取以下措施。
1. 在整流管、續流管與散熱器的接觸點附近對輸出地接電容,如下圖 10 所示:

圖中C2 是二極管VD1 和VD2 與散熱器之間的耦合電容,容量一般在幾十PF,C3 是增加的電容,C3 要遠大於C2,DC/DC 整流管、續流管上的電壓峰值經過C2 與C3 的分壓,幅度大大降低,就可以大大減小向外的輻射。
2. 采用如下圖 11 所示的電路形式。

在上圖的電路形式中,將輸出濾波電感放在輸出的負端,VD1、VD2 的輸出直接接在輸出濾波電容的正端,這樣,整流管、xuliuguandeyinjijiegudingdianping,tongguoyinjilianjiedesanremianyusanreqizhijiandeouhedianrongxiangwailiudongdegongmodianliujiuhuidadajianxiao,congerdadajianxiaoshuchuduankoudefushedianping。
3.3.3 機箱屏蔽
開關電源的輻射除了上述的輻射源主要通過輸入輸出端口向外輻射以外,電源的控製電路、驅動、輔助電源、變壓器、電感等直接向空間輻射電磁能量,因此需要采用機箱進行屏蔽,機箱屏蔽要考慮機箱的材料、厚度和孔縫對屏蔽效能的影響。
1.吸收損耗
當電磁波進入金屬屏蔽體後會產生感應電流,變為熱能而消耗掉,所以電磁波進入金屬導體中以指數的方式很快衰減,傳輸距離很短。
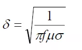
我們將電磁波衰減到原來 1/e,即0.37 倍時的距離稱為集膚深度δ
集膚深度δ與材料的性能和頻率有關,可用下麵的公式表示:

公式中,μ是材料的磁導率,σ是材料的電導率。
2. 反射損耗
當電磁波到達兩種介質表麵時,因阻抗不匹配而發生反射,所引起的電磁波能量損耗稱為反射損耗。
輻射騷擾所測試的頻率範圍是 30MHz~1000MHz。如果單純的隻考慮30MHz yishangdediancipingbi,boboyicengdedaotijiukeyidadaohengaodepingbixiaoneng,danduiyupinlvbijiaodidedianchanghuocichang,jiuyaokaolvpingbisuoshiyongdecailiaohehoudule。
3. 孔縫對屏蔽的影響
在實際的應用當中,機箱上總是存在有接線孔、tongfengkongyijijixianggemianzhijiandelianjiefengxi,ruguojixiangdekongfengchicunbuheli,jiangshipingbixiaonengdadajiangdi,yibanlaishuo,kongfengdechicunyingxiaoyushifenzhiyidaobaifenzhiyidebochang,cainengdadaoxiangyingdepingbixiaoguo。ruguoshangxianpinlvan1000MHz 來考慮,孔縫的尺寸應小於:3~0.3cm。由於開關電源的電磁輻射頻率範圍一般在30MHz 到500MHz 之間,屏蔽的上限頻率可以按500MHz 來考慮。
推薦閱讀:
特別推薦
- 噪聲中提取真值!瑞盟科技推出MSA2240電流檢測芯片賦能多元高端測量場景
- 10MHz高頻運行!氮矽科技發布集成驅動GaN芯片,助力電源能效再攀新高
- 失真度僅0.002%!力芯微推出超低內阻、超低失真4PST模擬開關
- 一“芯”雙電!聖邦微電子發布雙輸出電源芯片,簡化AFE與音頻設計
- 一機適配萬端:金升陽推出1200W可編程電源,賦能高端裝備製造
技術文章更多>>
- 貿澤EIT係列新一期,探索AI如何重塑日常科技與用戶體驗
- 算力爆發遇上電源革新,大聯大世平集團攜手晶豐明源線上研討會解鎖應用落地
- 創新不止,創芯不已:第六屆ICDIA創芯展8月南京盛大啟幕!
- AI時代,為什麼存儲基礎設施的可靠性決定數據中心的經濟效益
- 築基AI4S:摩爾線程全功能GPU加速中國生命科學自主生態
技術白皮書下載更多>>
- 車規與基於V2X的車輛協同主動避撞技術展望
- 數字隔離助力新能源汽車安全隔離的新挑戰
- 汽車模塊拋負載的解決方案
- 車用連接器的安全創新應用
- Melexis Actuators Business Unit
- Position / Current Sensors - Triaxis Hall
熱門搜索




