力學傳感器種類及壓阻式力傳感器簡介
發布時間:2019-02-20 責任編輯:wenwei
【導讀】力學傳感器是將各種力學量轉換為電信號的器件,力學量可分為幾何學量、運動學量及力學量三部分,其中幾何學量指的是位移、形變、尺寸等,運動學量是指幾何學量的時間函數,如速度、加速度等。力學量包括質量、力、力矩、壓力、應力等。根據被測力學的不同,這裏我們首先要介紹的是應用最為廣泛的應變式壓力傳感器。
力學傳感器的種類繁多,如電阻應變片壓力傳感器、半導體應變片壓力傳感器、壓阻式壓力傳感器、電感式壓力傳感器、電容式壓力傳感器、諧振式壓力傳感器及電容式加速度傳感器等。但應用最為廣泛的是壓阻式壓力、傳感器,它具有極低價格和較高的精度以及較好的線性特性。

在(zai)了(le)解(jie)壓(ya)阻(zu)式(shi)力(li)傳(chuan)感(gan)器(qi)時(shi),我(wo)們(men)首(shou)先(xian)認(ren)識(shi)一(yi)下(xia)電(dian)阻(zu)應(ying)變(bian)片(pian)這(zhe)種(zhong)元(yuan)件(jian)。電(dian)阻(zu)應(ying)變(bian)片(pian)是(shi)一(yi)種(zhong)將(jiang)被(bei)測(ce)件(jian)上(shang)的(de)應(ying)變(bian)變(bian)化(hua)轉(zhuan)換(huan)成(cheng)為(wei)一(yi)種(zhong)電(dian)信(xin)號(hao)的(de)敏(min)感(gan)器(qi)件(jian)。它(ta)是(shi)壓(ya)阻(zu)式(shi)應(ying)變(bian)傳(chuan)感(gan)器(qi)的(de)主(zhu)要(yao)組(zu)成(cheng)部(bu)分(fen)之(zhi)一(yi)。電(dian)阻(zu)應(ying)變(bian)片(pian)應(ying)用(yong)最(zui)多(duo)的(de)是(shi)金(jin)屬(shu)電(dian)阻(zu)應(ying)變(bian)片(pian)和(he)半(ban)導(dao)體(ti)應(ying)變(bian)片(pian)兩(liang)種(zhong)。
金jin屬shu電dian阻zu應ying變bian片pian又you有you絲si狀zhuang應ying變bian片pian和he金jin屬shu箔bo狀zhuang應ying變bian片pian兩liang種zhong。通tong常chang是shi將jiang應ying變bian片pian通tong過guo特te殊shu的de粘zhan和he劑ji緊jin密mi的de粘zhan合he在zai產chan生sheng力li學xue應ying變bian基ji體ti上shang,當dang基ji體ti受shou力li發fa生sheng應ying力li變bian化hua時shi,電dian阻zu應ying變bian片pian也ye一yi起qi產chan生sheng形xing變bian,使shi應ying變bian片pian的de阻zu值zhi發fa生sheng改gai變bian,從cong而er使shi加jia在zai電dian阻zu上shang的de電dian壓ya發fa生sheng變bian化hua。
zhezhongyingbianpianzaishoulishichanshengdezuzhibianhuatongchangjiaoxiao,yiguzhezhongyingbianpiandouzuchengyingbiandianqiao,bingtongguohouxudeyibiaofangdaqijinxingfangda,zaichuanshugeichulidianlu(通常是A/D轉換和CPU)顯示或執行機構。金屬電阻應變片的內部結構由基體材料、金屬應變絲或應變箔、絕緣保護片和引出線等部分組成。
根據不同的用途,電阻應變片的阻值可以由設計者設計,但電阻的取值範圍應注意:zuzhitaixiao,suoxudequdongdianliutaida,tongshiyingbianpiandefarezhishibenshendewenduguo髙,butongdehuanjingzhongshiyong,shiyingbianpiandezuzhibianhuataida,shuchulingdianpiaoyimingxian,tiaolingdianluguoyufuza。erdianzutaida,zukangtaigao,kangwaijiededianciganraonenglijiaocha。
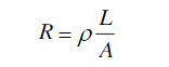
—般ban均jun為wei幾ji十shi歐ou至zhi幾ji十shi千qian歐ou左zuo右you。電dian阻zu應ying變bian片pian的de工gong作zuo原yuan理li金jin屬shu電dian阻zu應ying變bian片pian的de工gong作zuo原yuan理li是shi吸xi附fu在zai基ji體ti材cai料liao上shang應ying變bian電dian阻zu隨sui機ji械xie形xing變bian而er產chan生sheng阻zu值zhi變bian化hua的de現xian象xiang,俗su稱cheng為wei電dian阻zu應ying變bian效xiao應ying。金jin屬shu導dao體ti的de電dian阻zu值zhiR可用下式表示:
式中:p——金屬導體的電阻率(Ocm2/m)A——導體的截麵積(cm2)L——導體的長度(m)womenyijinshusiyingbiandianzuweili,dangjinshusishouwailizuoyongshi,qichangduhejiemianjidouhuifashengbianhua,congshangshizhongkehenrongyikanchu,qidianzuzhijihuifashenggaibian,jiarujinshusishouwailizuoyongershenchangshi,qichangduzengjia,erjiemianjijianshao,dianzuzhibianhuizengda。
當金屬絲受外力作用而壓縮時,長度減小而截麵增加,電阻值則會減小。隻要測出加在電阻的變化(通常是測量電阻兩端的電壓),jikehuodeyingbianjinshusideyingbianqingkuang。yadianshilichuanganqishiliyongshiyingjingtidezongxiangyadianxiaoying,jianglizhuanhuanchengdianhedebianhuanzhuangzhi。chuanganqichanshengdedianhezhengbiyubeicewaili,tongguodianhefangdaqijiangdianheanbilizhuanhuanchengdianya,yongdianyabiaohuoqitaxianshiqiduchuqidaxiaojibianhua。
推薦閱讀:
特別推薦
- 噪聲中提取真值!瑞盟科技推出MSA2240電流檢測芯片賦能多元高端測量場景
- 10MHz高頻運行!氮矽科技發布集成驅動GaN芯片,助力電源能效再攀新高
- 失真度僅0.002%!力芯微推出超低內阻、超低失真4PST模擬開關
- 一“芯”雙電!聖邦微電子發布雙輸出電源芯片,簡化AFE與音頻設計
- 一機適配萬端:金升陽推出1200W可編程電源,賦能高端裝備製造
技術文章更多>>
- 一秒檢測,成本降至萬分之一,光引科技把幾十萬的台式光譜儀“搬”到了手腕上
- AI服務器電源機櫃Power Rack HVDC MW級測試方案
- 突破工藝邊界,奎芯科技LPDDR5X IP矽驗證通過,速率達9600Mbps
- 通過直接、準確、自動測量超低範圍的氯殘留來推動反滲透膜保護
- 從技術研發到規模量產:恩智浦第三代成像雷達平台,賦能下一代自動駕駛!
技術白皮書下載更多>>
- 車規與基於V2X的車輛協同主動避撞技術展望
- 數字隔離助力新能源汽車安全隔離的新挑戰
- 汽車模塊拋負載的解決方案
- 車用連接器的安全創新應用
- Melexis Actuators Business Unit
- Position / Current Sensors - Triaxis Hall
熱門搜索



