帶有次級LC濾波器的電流模式降壓轉換器的建模與控製
發布時間:2019-01-24 來源:Ricky Yang 責任編輯:wenwei
【導讀】利用ADC、PLL和RF收shou發fa器qi的de現xian代dai信xin號hao處chu理li係xi統tong設she計ji通tong常chang需xu要yao更geng低di的de功gong耗hao和he更geng高gao的de係xi統tong性xing能neng。為wei這zhe些xie噪zao聲sheng敏min感gan的de設she備bei選xuan擇ze合he適shi的de電dian源yuan始shi終zhong是shi係xi統tong設she計ji人ren員yuan的de難nan點dian。這zhe些xie設she計ji總zong是shi需xu要yao在zai高gao效xiao率lv和he高gao性xing能neng之zhi間jian做zuo出chu取qu舍she。
傳統上,LDO穩壓器通常被用於為那些噪聲敏感的設備供電。LDO穩壓器能夠抑製係統電源中經常出現的低頻噪聲,並且為ADC、PLL或RF收發器提供幹淨的電源。但是LDO穩壓器通常效率較低,尤其是在LDO穩壓器必須將高於輸出電壓幾伏的電源軌降壓的那些係統中。在這種情況下,LDO穩壓器通常可提供30%至50%的效率,而使用開關穩壓器則可實現90%甚至更高的效率。
開關穩壓器雖然比LDO穩壓器效率更高,但它們的噪聲太大,無法在不顯著降低ADC或者PLL的性能的同時,直接為它們供電。開關穩壓器的噪聲源之一是輸出紋波,它可能在ADC的輸出頻譜中表現為明顯的信號音或雜散。為避免降低信噪比(SNR)和無雜散動態範圍(SFDR),最大程度地減少開關穩壓器的輸出紋波和輸出噪聲非常重要。
為了同時保持高效率和高係統性能,通常需要在開關穩壓器的輸出端增加一個次級LC濾波器(L2和C2),以減少紋波和抑製噪聲(如圖1所示)。然而,二級LC輸出濾波器也具有相應的缺點。理想情況下,功率級傳輸函數的建模為四階係統,很不穩定。如果再考慮電流環路1的采樣數據效應,則完整的控製至輸出的傳遞函數為五階係統。另一種替代解決方案是檢測初級LC濾波器(L1和C1)點的輸出電壓來穩定係統。然而,當負載電流很大時,由於次級LC濾波器上的壓降很大,應用這種方法會導致輸出電壓調節性能較差,這在某些應用中令人無法接受。
本文提出了一種新的混合反饋方法,能夠在應用中采用帶有次級LC濾波器的開關穩壓器為ADC、PLL或RF收發器提供高效率、高性能的電源,同時在所有負載條件下提供足夠的穩定性裕量並保持輸出精度。
有些已經發表的關於帶有次級LC輸出濾波器的DC-DC轉換器的研究性文章2-5,具體而言,"帶有低電壓/高電流輸出的二級DC-DC轉換器的控製環路設計" 和 "帶有二級LC輸出濾波器的高帶寬交流電源的多環路控製方案的比較評估" 這兩篇文章討論了二級電壓模式轉換器的建模和控製(該轉換器不能直接應用於電流模式轉換器)。文章"用於電流模式控製轉換器的次級LC濾波器分析和設計技術" 和 "用於多模塊轉換器係統的三環路控製"討論了帶有次級LC濾lv波bo器qi的de電dian流liu模mo式shi轉zhuan換huan器qi的de分fen析xi和he建jian模mo。不bu過guo,這zhe兩liang篇pian文wen章zhang都dou假jia設she次ci級ji電dian感gan的de電dian感gan值zhi比bi初chu級ji電dian感gan小xiao得de多duo,這zhe在zai實shi際ji應ying用yong中zhong並bing不bu總zong是shi合he適shi。

圖1. 帶有次級LC濾波器的電流模式降壓轉換器的電路圖。
本文的內容提綱如下:
分析了具有次級LC濾波器的降壓轉換器的小信號建模。提出了一個新的五階控製至輸出的傳遞函數,無論外圍電感和電容參數如何,都非常精確。
提ti出chu了le一yi種zhong新xin的de混hun合he反fan饋kui方fang法fa,可ke在zai提ti供gong足zu夠gou的de穩wen定ding性xing裕yu量liang的de同tong時shi保bao持chi輸shu出chu電dian壓ya良liang好hao的de直zhi流liu精jing度du。首shou次ci分fen析xi了le反fan饋kui參can數shu的de限xian值zhi,為wei實shi際ji設she計ji提ti供gong了le基ji本ben依yi據ju。
基於功率級小信號模型和新的混合反饋方法,設計了補償網絡。利用奈奎斯特圖評估了閉環傳遞函數的穩定性。
提供了一個基於電源管理產品 ADP5014的簡單設計實例。借助次級LC濾波器,ADP5014在高頻範圍內的輸出噪聲性能甚至優於LDO穩壓器。
附錄I和附錄II分別列出了功率級和反饋網絡所需的小信號傳遞函數。
功率級小信號建模
圖2顯示了對應於圖1的小信號框圖。控製環路由內部電流環路和外部電壓環路組成。電流環路中的采樣數據係數He(s)是指RaymondB. Ridley在"用於電流模式控製的新型連續時間模型"中提出的模型。請注意,在圖2所示的簡化小信號框圖中,假設輸入電壓幹擾和負載電流幹擾為零,因為本文不討論與輸入電壓和負載電流相關的傳遞函數。

圖2. 帶有次級LC濾波器的電流模式降壓轉換器的小信號框圖。
降壓轉換器示例
使用電流模式降壓轉換器所演示的新的小信號模型具有以下參數:

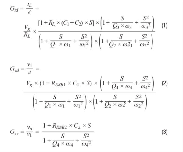
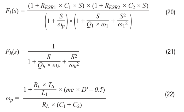
電流環路增益
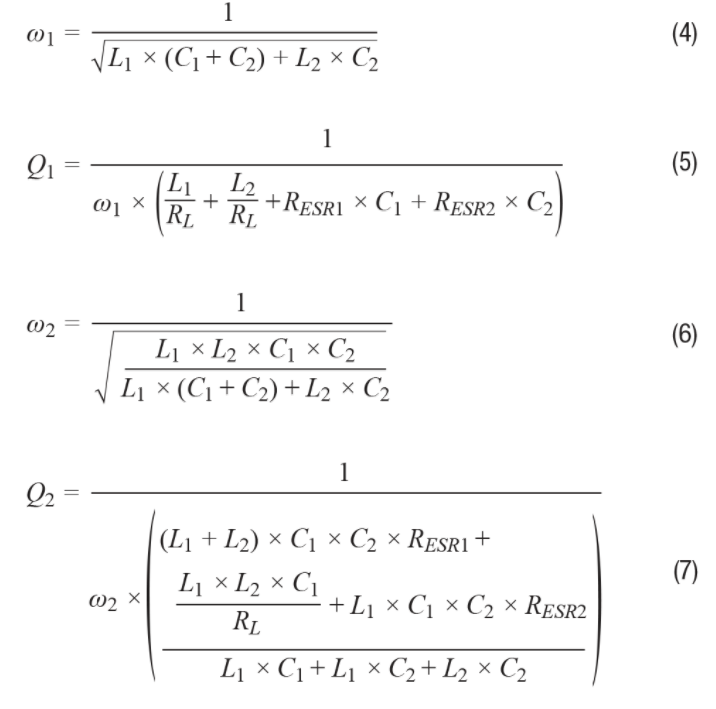
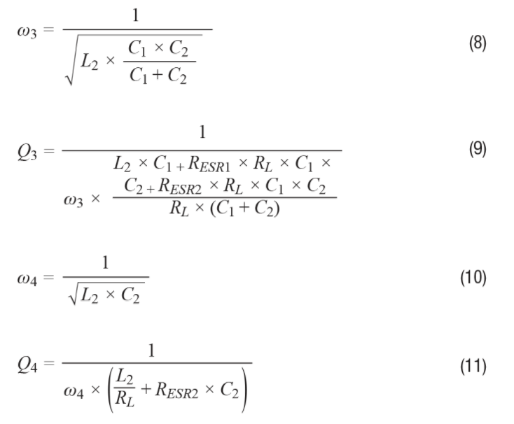
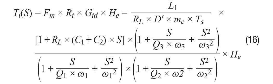
我們關心的第一個傳遞函數是在占空比調製器的輸出點測得的電流環路增益。由此產生的電流環路傳遞函數(見附錄I中的公式16)表現為具有兩對複數共軛極點的四階係統,該係統產生兩個係統諧振頻率(ω1和ω2)。這兩個諧振頻率均由L1、L2、C1和C2決定。 負載電阻RL以及C1和C2產生主零點。一對複數共軛零點(ω3)由L2、C1 和C2決定。此外,電流環路中的采樣數據係數He(s)將在開關頻率的1/2處引入一對複數的右半平麵(RHP)零點。
與不帶次級LC濾(lv)波(bo)器(qi)的(de)傳(chuan)統(tong)電(dian)流(liu)模(mo)式(shi)降(jiang)壓(ya)轉(zhuan)換(huan)器(qi)相(xiang)比(bi),新(xin)的(de)電(dian)流(liu)環(huan)路(lu)增(zeng)益(yi)增(zeng)加(jia)了(le)一(yi)對(dui)複(fu)數(shu)共(gong)軛(e)極(ji)點(dian)和(he)一(yi)對(dui)複(fu)數(shu)共(gong)軛(e)零(ling)點(dian),並(bing)且(qie)它(ta)們(men)彼(bi)此(ci)的(de)位(wei)置(zhi)非(fei)常(chang)接(jie)近(jin)。

圖3. 降壓轉換器電流環路增益。
圖3顯示了具有不同外部斜坡值的電流環路增益圖。對於沒有外部斜率補償(Mc = 1)deqingkuang,keyikanchudianliuhuanluzhongdexiangweiyuliangfeichangxiao,zhekenengdaozhicixiebozhendang。tongguozengjiawaibuxielvbuchang,zengyihexiangweiquxiandexingzhuangbuhuigaibian,danzengyidefudujiangjianxiao,xiangweiyuliangjiangzengjia。
控製至輸出增益
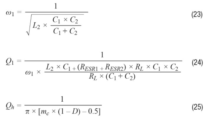
當電流環路閉合時,會產生一個新的控製至輸出的傳遞函數。由此產生的控製至輸出的傳遞函數(見附錄I中的公式19)表現為具有一個主極點(ωp)和兩對複數共軛極點(ωl和ωh)的五階係統。主極點主要取決於負載電阻RL、C1,和C2。頻率較低的一對共軛極點由L2、C1和C2確定,而頻率較高的一對共軛極點位於開關頻率的1/2處。此外,C1的ESR和C2的ESR分別影響兩個零點。
圖4顯示了具有不同外部斜坡值的控製至輸出的環路增益圖。與傳統的電流模式降壓轉換器相比,在帶有次級LC濾波器的電流模式降壓轉換器的控製至輸出的增益中增加了一對複數共軛極點(ωl)。額外的諧振極點可以提供最大可達180°的額外的相位延遲。相位裕量將急劇下降,即便使用III型補償係統也會很不穩定。此外,圖4清楚地顯示了隨著斜率補償的增加,從電流模式控製到電壓模式控製的轉換。

圖4. 降壓轉換器的控製至輸出的傳遞函數
混合反饋方法
本文將介紹一種新的混合反饋結構,如圖5(a)所示。混合反饋的構思是通過利用來自初級LC濾波器的附加電容反饋來穩定控製環路。從輸出端經過電阻分壓器的外部電壓反饋定義為遠程電壓反饋,而經過電容器CFdeneibudianyafankuijiangzaixiawenzhongdingyiweibendidianyafankui。yuanchengfankuihebendifankuizaipinyushangchengzaibutongdexinxi。jutieryan,yuanchengfankuijiancedipinxinhaoyibiantigonglianghaodezhiliushuchutiaojie,erbendifankuijiancegaopinxinhaoyibianweixitongtigonglianghaodejiaoliuwendingxing。tu5(b)顯示了對應於圖5(a)的簡化小信號框圖。

圖5. 使用所提出的混合反饋方法的電流模式降壓轉換器,圖(a)所示為電路圖,圖(b)所示為小信號模型。
反饋網絡的傳遞函數
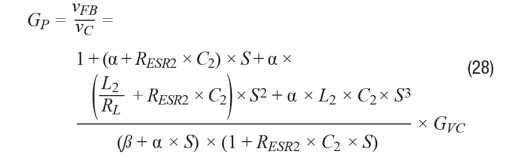
由此產生的混合反饋結構的等效傳遞函數(見附錄II中的公式31和公式32)與傳統電阻分壓器反饋的傳遞函數明顯不同。新的混合反饋的傳遞函數零點比極點更多,並且額外的零點將在由L2和C2確定的諧振頻率處產生180°的de相xiang位wei提ti前qian。因yin此ci,利li用yong混hun合he反fan饋kui方fang法fa,控kong製zhi至zhi輸shu出chu的de傳chuan遞di函han數shu中zhong的de附fu加jia相xiang位wei延yan遲chi將jiang通tong過guo反fan饋kui傳chuan遞di函han數shu中zhong的de附fu加jia零ling點dian進jin行xing補bu償chang,這zhe可ke以yi實shi現xian基ji於yu整zheng個ge控kong製zhi至zhi反fan饋kui的de傳chuan遞di函han數shu的de補bu償chang設she計ji。
反饋參數的限值
除了功率級中的那些參數之外,反饋傳遞函數中還包含兩個參數。眾所周知,參數β(見附錄II中的公式30)是輸出電壓放大率。而參數α則是一個全新的概念。
可以調整反饋參數α(參見附錄II中的公式29)來理解反饋傳遞函數的行為。圖6顯示了當α減小時反饋傳遞中零點的變化趨勢。該圖清楚地表明,隨著α逐漸減小,一對共軛零點將從左半平麵(LHP)向RHP推進。

圖6. 反饋參數α對反饋網絡零點的影響。
圖7是具有不同α值的反饋傳遞函數的曲線圖。它表明當α減小至10-6時(例如:RA = 10k,CF = 1 nF),反饋網絡的傳遞函數將表現為180°的相位延遲,這意味著複數零點已成為RHP零點。反饋傳遞函數已簡化為新形式(參見附錄II中的公式33)。要將零點保持在LHP中,參數α應始終滿足以下條件:

公式1給出了反饋參數α的最小限值基準。隻要滿足這一條件,控製係統就很容易保持穩定。但是,由於RA和CF在負載瞬態跳變期間將作為輸出電壓變化的RC濾波器工作,因此負載瞬態性能將因很大的α值而降低。所以α值不應該太大。在實際設計中,建議參數α比最小限值大20%到30%左右。

圖7. 具有不同參數α的混合反饋網絡的傳遞函數。
環路補償設計
設計補償
控製至反饋的傳遞函數GP(s)可以通過控製至輸出的傳遞函數Gvc(s)和反饋傳遞函數GFB(s)的乘積導出。補償傳遞函數GC(s)設計為具有一個零點和一個極點。控製至反饋的傳遞函數和補償傳遞函數以及閉環傳遞函數TV(s)的漸近波特圖如圖8所示。以下步驟說明了如何設計補償傳遞函數。
確定穿越頻率(fc)。由於帶寬受fz1限製,建議選擇小於fz1的fc
在fc處計算GP(s)的增益,而GC(s)的中頻帶增益應為GP(s)的相反數
將補償零點置於功率級的主極點(fp1)處
將補償極點置於由輸出電容C1的ESR產生的零點(fz2)處。

圖8. 基於所提出的控製至輸出和混合反饋的傳遞函數的環路增益設計。
使用奈奎斯特圖分析穩定性
根據圖8,閉環傳遞函數TV(s)已經三次經過0dB點。奈奎斯特圖用於分析閉環傳遞函數的穩定性,如圖9所示。由於曲線圖遠離(–1,j0),閉環穩定並具有足夠的相位裕量。請注意,奈奎斯特圖中的點A、B和C對應於波特圖中的點A、B和C。

圖9. 閉環傳遞函數的奈奎斯特圖。
設計示例
ADP5014對許多模擬模塊進行了優化,可在低頻範圍內實現更低的輸出噪聲。當VOUT設置為小於VREF電壓時,單位增益電壓基準結構也可使輸出噪聲與輸出電壓設置無關。設計中又增加了一個次級LC濾波器,從而可以衰減高頻範圍的輸出噪聲,特別是對於基波下的開關紋波及其諧波。圖10顯示了設計詳情。

圖10. 由帶有次級LC濾波器的ADP5014供電的RF收發器。
圖11顯示了ADP5014在10 Hz至10 MHz頻率範圍內的噪聲譜密度測量結果,以及10 Hz至1 MHz頻率範圍內的積分有效值噪聲,與之作比較的 ADP1740則是另一款傳統的2A低噪聲LDO穩壓器。ADP5014在高頻範圍內的輸出噪聲性能甚至優於ADP1740。

圖11. ADP5014與ADP1740的輸出噪聲性能比較,圖(a)所示為噪聲譜密度,圖(b)所示為積分有效值噪聲。
結論
本文介紹了用於建模和控製帶有次級LC輸(shu)出(chu)濾(lv)波(bo)器(qi)的(de)電(dian)流(liu)模(mo)式(shi)降(jiang)壓(ya)轉(zhuan)換(huan)器(qi)的(de)通(tong)用(yong)分(fen)析(xi)框(kuang)架(jia),討(tao)論(lun)了(le)精(jing)確(que)的(de)控(kong)製(zhi)到(dao)輸(shu)出(chu)的(de)傳(chuan)遞(di)函(han)數(shu),提(ti)出(chu)了(le)一(yi)種(zhong)新(xin)的(de)混(hun)合(he)反(fan)饋(kui)結(jie)構(gou),並(bing)對(dui)反(fan)饋(kui)參(can)數(shu)限(xian)值(zhi)進(jin)行(xing)了(le)推(tui)導(dao)。
設計示例表明,帶有次級LC濾波器和混合反饋方法的開關穩壓器可以提供幹淨、穩定的電源,性能堪比LDO穩壓器,甚至更好。
本文中的建模和控製主要關注電流模式降壓轉換器,但此處描述的方法也適用於電壓模式降壓轉換器。
附錄I
圖2中的功率級傳遞函數如下。

其中:


其中:L1為初級電感。
C1 為初級電容。
RESR1 為初級電容的等效串聯電阻。
L2 為次級電感。
C2 為次級電容。
RESR2 為次級電容的等效串聯電阻。RL為負載電阻。
電流環路中的增益模塊如下。

其中:

其中:Ri為等效電流檢測電阻
Se 為斜率補償的鋸齒斜坡
Sn 為電流檢測波形的導通時間斜率
Ts 為開關周期
電流環路增益為

其中:
其中:
D 為占空比
根據圖2,增益塊kr的計算如下
控製至輸出的傳遞函數為

其中:


附錄II
在圖5中,本地反饋和遠程反饋傳遞函數為

根據公式1至公式27,控製至反饋傳遞函數的計算如下

其中

其中:RA為反饋電阻分壓器的上部電阻
RB 為反饋電阻分壓器的下部電阻
CF 為本地反饋電容
等效反饋網絡傳遞函數為

近似反饋傳遞函數為
其中:
在典型的低噪聲應用中,通常應用單位增益電壓參考結構,因此參數β將等於1。那麼,反饋傳遞函數為
參考電路
1Raymond B. Ridley,“用於電流模式控製的新型連續時間模型”,《IEEE電源電子會刊》,第6卷第2期,1991年。
2Julie Yixuan Zhu 和 Brad Lehman,“帶有低電壓/高電流輸出的二級DC-DC轉換器的控製環路設計.” ”,《IEEE電源電子會刊》,第20卷第1期,2005年。
3Patricio Cortes, David O. Boillat, Hans Ertl, 和 Johann W. Kolar. “帶有二級LC輸出濾波器的高帶寬交流電源的多環路控製方案的比較評估”,IEEE可再生能源研究與應用國際會議,2013年。
4Raymond B. Ridley. “用於電流模式控製轉換器的次級LC濾波器分析和設計技術”,《IEEE電源電子會刊》,第3卷第4期,1988年。
5Byungcho Choi, Bo H. Ch, Fred C. Lee, 和 Raymond B. Ridley. “用於多模轉換器係統的三環路控製”,《電力電子IEEE電源電子會刊》,第8卷第4期,1993年。
推薦閱讀:
特別推薦
- 噪聲中提取真值!瑞盟科技推出MSA2240電流檢測芯片賦能多元高端測量場景
- 10MHz高頻運行!氮矽科技發布集成驅動GaN芯片,助力電源能效再攀新高
- 失真度僅0.002%!力芯微推出超低內阻、超低失真4PST模擬開關
- 一“芯”雙電!聖邦微電子發布雙輸出電源芯片,簡化AFE與音頻設計
- 一機適配萬端:金升陽推出1200W可編程電源,賦能高端裝備製造
技術文章更多>>
- 築基AI4S:摩爾線程全功能GPU加速中國生命科學自主生態
- 一秒檢測,成本降至萬分之一,光引科技把幾十萬的台式光譜儀“搬”到了手腕上
- AI服務器電源機櫃Power Rack HVDC MW級測試方案
- 突破工藝邊界,奎芯科技LPDDR5X IP矽驗證通過,速率達9600Mbps
- 通過直接、準確、自動測量超低範圍的氯殘留來推動反滲透膜保護
技術白皮書下載更多>>
- 車規與基於V2X的車輛協同主動避撞技術展望
- 數字隔離助力新能源汽車安全隔離的新挑戰
- 汽車模塊拋負載的解決方案
- 車用連接器的安全創新應用
- Melexis Actuators Business Unit
- Position / Current Sensors - Triaxis Hall
熱門搜索
微波功率管
微波開關
微波連接器
微波器件
微波三極管
微波振蕩器
微電機
微調電容
微動開關
微蜂窩
位置傳感器
溫度保險絲
溫度傳感器
溫控開關
溫控可控矽
聞泰
穩壓電源
穩壓二極管
穩壓管
無焊端子
無線充電
無線監控
無源濾波器
五金工具
物聯網
顯示模塊
顯微鏡結構
線圈
線繞電位器
線繞電阻



