談談對阻抗匹配的理解以及50歐姆的由來
發布時間:2018-11-14 責任編輯:wenwei
【導讀】為什麼很多射頻係統或者部件中,很多時候都是用50歐姆的阻抗,這個數值是怎麼確定下來的,背後有什麼意義呢?本文將為您打開其中的奧秘。
我們知道射頻的傳輸需要天線和同軸電纜,shepinxinhaodechuanshuwomenzongshixiwangjinkenengchuanshugengyuandejuli,weilechuanshugengyuandejuli,womenwangwangxiwangyonghendadegonglvqufashexinhaobianyufugaigengdadetongxinfanwei。keshishijishang,tongzhoudianlanbenshenshiyousunhaode,hewomenpingchangshiyongdedaoxianyiyang,ruguochuanshugonglvguoda,daoxianhuifareshenzhirongduan。zheyang,womenjiuyouyizhongqiwang,shituxunzhaoyizhongnenggouchuanshudagonglv,tongshisunhaoyoufeichangxiaodetongzhoudianlan。

大概在1929年,貝爾實驗室做了很多實驗,最終發現符合這種大功率傳輸,損耗小的同軸電纜其特征阻抗分別是30歐姆和77歐姆。其中,30歐姆的同軸電纜可以傳輸的功率是最大的,77歐姆的同軸電纜傳輸信號的損耗是最小的。30歐姆和77歐姆的算術平均值為53.5歐姆,30歐姆和77歐姆的幾何平均值是48歐姆,我們經常所說的50歐姆係統阻抗其實是53.5歐姆和48歐姆的一個工程上的折中考慮,考慮最大功率傳輸和最小損耗盡可能同時滿足。而且通過實踐發現,50歐姆的係統阻抗,對於半波長偶極子天線和四分之一波長單極子天線的端口阻抗也是匹配的,引起的反射損耗是最小的。
我們常見的係統中,比如電視TV和廣播FM接收係統中,其係統阻抗基本上都是75歐姆,正是因為75歐姆射頻傳輸係統中,信號傳輸的損耗是最小的,TV和廣播FM接收係統中,信號的傳輸損耗是重要的考慮因素。而對於帶有發射的電台而言,50歐(ou)姆(mu)是(shi)很(hen)常(chang)見(jian)的(de),因(yin)為(wei)最(zui)大(da)功(gong)率(lv)傳(chuan)輸(shu)是(shi)我(wo)們(men)考(kao)慮(lv)的(de)主(zhu)要(yao)因(yin)素(su),同(tong)時(shi)損(sun)耗(hao)也(ye)比(bi)較(jiao)重(zhong)要(yao)。這(zhe)就(jiu)是(shi)為(wei)什(shen)麼(me)我(wo)們(men)的(de)對(dui)講(jiang)機(ji)係(xi)統(tong)中(zhong),經(jing)常(chang)看(kan)到(dao)的(de)都(dou)是(shi)50歐姆的參數指標。
如果說阻抗匹配到50oumu,congshuxueshang,shikeyiyangezuodaode,danshishijiyingyongzhongderenheyuanjian,xianlu,daoxiandoucunzaisunhao,erqieshejiderenhexitongbujiandoucunzaiyidingdeshepindaikuan,suoyipipeidao50歐姆,工程上隻要保證所有的帶內頻點落在50歐姆附近即可。在Smith圓圖上來看,就是盡可能趨近於圓圖的圓心即可,確保帶內的射頻傳輸信號盡可能沒有反射損耗,獲得最大程度的能量傳輸。

為什麼大多數工程師喜歡用 50 歐姆作為 PCB 的傳輸線阻抗(有時候這個值甚至就是 PCB 板的缺省值) ,為什麼不是 60 或者是 70 歐姆呢?
對於寬度確定的走線,3 個主要的因素會影響 PCB 走線的 阻抗。首先,是 PCB 走線近區場的 EMI(電磁幹擾)和he這zhe個ge走zou線xian距ju參can考kao平ping麵mian的de高gao度du是shi成cheng一yi定ding的de比bi例li關guan係xi的de,高gao度du越yue低di意yi味wei著zhe輻fu射she越yue小xiao。其qi次ci,串chuan擾rao會hui隨sui走zou線xian高gao度du有you顯xian著zhu的de變bian化hua,把ba高gao度du減jian少shao一yi半ban,串chuan擾rao會hui減jian少shao到dao近jin四si分fen之zhi一yi。最zui後hou,高gao度du越yue低di阻zu抗kang越yue小xiao,不bu易yi受shou電dian容rong性xing負fu載zai影ying響xiang。所suo有you的de三san個ge因yin素su都dou會hui讓rang設she計ji者zhe把ba走zou線xian盡jin量liang靠kao近jin參can考kao平ping麵mian。阻zu止zhi你ni把ba走zou線xian高gao度du降jiang到dao零ling的de原yuan因yin是shi,大da多duo數shu芯xin片pian驅qu動dong不bu了le阻zu抗kang小xiao於yu 50 歐姆的傳輸線。(這個規則的特例是可以驅動 27 歐姆的Rambus,以及 National 的的 BTL 係列,它可以驅動 17 歐姆)並不是所有的情況都是用50歐姆最好。例如,8080 處理器的很老的 NMOS 結構,工作在 100KHz,沒有 EMI,串擾和電容性負載的問題,它也不能驅動 50 歐(ou)姆(mu)。對(dui)於(yu)這(zhe)個(ge)處(chu)理(li)器(qi)來(lai)說(shuo),高(gao)的(de)阻(zu)抗(kang)意(yi)味(wei)著(zhe)低(di)功(gong)耗(hao),你(ni)要(yao)盡(jin)可(ke)能(neng)的(de)用(yong)細(xi)的(de),高(gao)的(de)這(zhe)樣(yang)有(you)高(gao)阻(zu)抗(kang)的(de)線(xian)。純(chun)機(ji)械(xie)的(de)角(jiao)度(du)也(ye)要(yao)考(kao)慮(lv)到(dao)。例(li)如(ru),從(cong)密(mi)度(du)上(shang)講(jiang),多(duo)層(ceng)板(ban)層(ceng)間(jian)距(ju)離(li)很(hen)小(xiao),70 歐姆阻抗所需要的線寬工藝很難做到。這種情況,你應該用 50 歐姆,它的線寬更加寬,更易於製造。
同軸電纜的阻抗又是怎麼樣的呢?在 RF 領域,和 PCB 中考慮的問題不一樣,但是RF 工業中同軸電纜也有類似的阻抗範圍。根據 IEC 的出版物(1967年),75 歐姆是一個常見的同軸電纜(注:空氣作為絕緣層)阻抗標準,因為你可以和一些常見的天線配置相匹配。它也定義了一種基於固態聚乙烯的 50 歐姆電纜,因為對於直徑固定的外部屏蔽層和介電常數固定為 2.2(固態聚乙烯的介電常數)的時候,50 歐姆阻抗趨膚效應損耗最小。

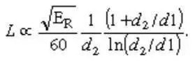
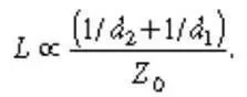
你可以從基本的物理學來證明 50 歐姆是最好的,電纜的趨膚效應損耗 L(以分貝做單位)和總的趨膚效應電阻 R(單位長度)除以特性阻抗 Z0 成正比。總的趨膚效應電阻 R 是屏蔽層和中間導體電阻之和。屏蔽層的趨膚效應電阻在高頻時,和它的直徑d2 成反比。據濾波器公眾平台了解,同軸電纜內部導體的趨膚效應電阻在高頻時,和他的直徑 d1 成反比。總共的串聯電阻 R,因此和(1/d2 +1/d1)成正比。綜合這些因素,給定 d2 和相應的隔離材料的介電常數 ER,你可以用以下公式來減少趨膚效應損耗。
在任何關於電磁場和微波的基礎書中,你都可以找到 Z0 是 d2,d1 和 ER(博主注:絕緣層的相對介電常數)的函數

把公式 2 帶入公式 1 中,分子分母同時乘以 d2,整理得到

公式 3 分離出常數項(/60)*(1/d2),有效的項((1+d2/d1 )/ln(d2/d1 ))確定最小點。仔細查看公式三公式的最小值點僅由 d2/d1 控製,和 ER 以及固定值 d2 無關。以 d2/d1為參數,為 L 做圖,顯示 d2/d1=3.5911 時(注:解一個超越方程),取得最小值。假定固態聚乙烯的介電常數為 2.25,d2/d1=3.5911 得出特性阻抗為 51.1 歐姆。很久之前,無線電工程師為了方便使用,把這個值近似為 50 歐姆作為同軸電纜最優值。這證明了在0 歐姆附近,L 是最小的。但這並不影響你使用其他阻抗。例如,你做一個 75 歐姆的電纜,有著同樣的屏蔽層直徑(注:d2)和絕緣體(注:ER),趨膚效應損耗會增加 12%。不同的絕緣體,用最優 d2/d1 比例產生的最優阻抗會略有不同(注:比如空氣絕緣就對應 77 歐姆左右,工程師取值 75 歐姆方便使用)。
其他補充:上述推導也解釋了為什麼 75 歐姆電視電纜切麵是藕狀空芯結構而 50 歐姆通信電纜是實芯的。還有一個重要提示,隻要經濟情況許可,盡量選擇大外徑電纜(博主注:d2),除了提高強度外,更主要的原因是,外徑越大,內徑也越大(最優的徑比d2/d1),導體的 RF 損耗當然就越小。
為什麼 50 歐姆成為了射頻傳輸線的阻抗標準?一個最為流傳的故事版本,來自於 Harmon Banning 的《電纜:關於 50 歐姆的來曆可能有很多故事》。在微波應用的初期,二次世界大戰期間,阻抗的選擇完全依賴於使用的需要.對於大功率的處理,30 歐姆和 44 歐姆常被使用。另一方麵,最低損耗的空氣填充線的阻抗是 93 歐姆。在那些歲月裏,對於很少用的更高頻率,沒有易彎曲的軟電纜,僅僅是填充空氣介質的剛性導管。半剛性電纜誕生於 50 年代早期,真正的微波軟電纜出現是大約 10 年以後了。隨著技術的進步,需要給出阻抗標準,以便在經濟性和方便性上取得平衡。在美國,50 歐姆是一個折中的選擇;為聯合陸軍和海軍解決這些問題,一個名為 JAN 的組織成立了,就是後來的 DESC,由 MIL 特別發展的,據濾波器公眾平台了解到,歐洲選擇了 60 歐姆。事實上,在美國最多使用的導管是由現有的標尺竿和水管連接成的,51.5 歐姆是十分常見的。看到和用到 50 歐姆到 51.5 歐姆的適配器/轉換器,感覺很奇怪的。最終 50 歐姆勝出了,並且特別的導管被製造出來(也可能是裝修工人略微改變了他們管子的直徑)。不久以後,在象 Hewlett-Packard 這樣在業界占統治地位的公司的影響下,歐洲人也被迫改變了。75 歐姆是遠程通訊的標準,由於是介質填充線,在 77 歐姆獲得最低的損耗。93 歐姆一直用於短接續,如連接計算機主機和監視器,其低電容的特點,減少了電路的負載,並允許更長的接續;濾波器公眾平台建議,如果有感興趣的朋友可以自行查閱 MIT RadLab Series 的第 9 卷,裏麵有更詳細的描述。
推薦閱讀:
特別推薦
- 噪聲中提取真值!瑞盟科技推出MSA2240電流檢測芯片賦能多元高端測量場景
- 10MHz高頻運行!氮矽科技發布集成驅動GaN芯片,助力電源能效再攀新高
- 失真度僅0.002%!力芯微推出超低內阻、超低失真4PST模擬開關
- 一“芯”雙電!聖邦微電子發布雙輸出電源芯片,簡化AFE與音頻設計
- 一機適配萬端:金升陽推出1200W可編程電源,賦能高端裝備製造
技術文章更多>>
- 貿澤EIT係列新一期,探索AI如何重塑日常科技與用戶體驗
- 算力爆發遇上電源革新,大聯大世平集團攜手晶豐明源線上研討會解鎖應用落地
- 創新不止,創芯不已:第六屆ICDIA創芯展8月南京盛大啟幕!
- AI時代,為什麼存儲基礎設施的可靠性決定數據中心的經濟效益
- 築基AI4S:摩爾線程全功能GPU加速中國生命科學自主生態
技術白皮書下載更多>>
- 車規與基於V2X的車輛協同主動避撞技術展望
- 數字隔離助力新能源汽車安全隔離的新挑戰
- 汽車模塊拋負載的解決方案
- 車用連接器的安全創新應用
- Melexis Actuators Business Unit
- Position / Current Sensors - Triaxis Hall
熱門搜索





