如何優化差分電路PCB設計的若幹要點?
發布時間:2018-05-02 責任編輯:lina
【導讀】當提到通信係統時,比起單端電路,差分電路總是能提供更加 優良的性能。它們具有更高的線性度、抗共模幹擾信號性能等。但是,對於差分電路還是有很多謎團。某些RF工程師認為很難設計、測試和調試它們。對於差分濾波器尤其如此。是時候揭開差分濾波器設計的神秘麵紗了。
要做到這一點,我們要從通信係統接收鏈中的IF級濾波器開 始。我們將介紹基本濾波器的一些重要規格概念、幾類常用濾 波器的響應、切比雪夫1型濾波器應用,以及如何從單端濾波器 設計開始,然後將其轉化為差分濾波器設計。我們還將考察一 個差分濾波器設計示例,並討論有關如何優化差分電路PCB設計的若幹要點。
RF信號鏈應用中差分電路的優點
用戶利用差分電路可以達到比利用單端電路更高的信號幅度。 在相同電源電壓下,差分信號可提供兩倍於單端信號的幅度。 它還能提供更好的線性度和SNR性能。

圖1. 差分輸出振幅
差分電路對外部EMI和附近信號的串擾具有很好的抗擾性。這是 因為接收的有用信號電壓加倍,噪聲對緊密耦合走線的影響在 理論上是相同的,它們彼此抵消。
差分信號產生的EMI往往也較低。這是因為信號電平的變化(dV/ dt或dI/dt)產生相反的磁場,再次相互抵消。
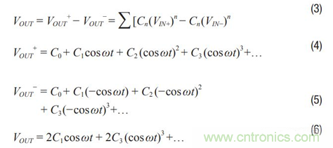
差分信號可抑製偶數階諧波。以下展示了連續波(CW)通過一個 增益模塊的示例。當使用一個單端放大器時,如圖2所示,輸出 可表示為公式1和公式2。

圖2. 單端放大器

當使用一個差分放大器時,輸入和輸出如圖3所示,表示為公式 3、公式4、公式5和公式6。

圖3. 差分放大器

理想情況下,輸出沒有任何偶數階諧波,使得差分電路成為通信係統一個更好的選擇。
濾波器
濾波器規格截止頻率、轉折頻率或拐點頻率是係統頻率響應的邊界,此時流經係統的能量開始減少(衰減或反射),而不是自由通過。

圖4. 3 dB截止頻率點
帶內紋波指通帶內插入損耗的波動。

圖5. 帶內紋波
相位線性度指相移與目標頻率範圍內的頻率成比例的程度。

圖6. 相位線性度
群延時衡量一個穿過受測器件的信號的各種正弦成分幅度包絡的時間延遲,它與各成分的頻率相關。

圖7. 群延時
濾波器比較
表1. 濾波器比較


圖8. 巴特沃茲濾波器S21響應

圖9. 橢圓濾波器S21響應

圖10. 貝塞爾濾波器S21響應。

圖11. 切比雪夫I型濾波器S21響應

圖12. 切比雪夫II型濾波器S21響應
通信接收鏈中的IF濾波器基本上是低通濾波器或帶通濾波器。它用於抑製混疊信號以及有源器件產生的雜散。這些雜散包括諧波和IMD產物等。利用該濾波器,接收鏈可提供高SNR的信號供ADC分析。
切比雪夫I型濾波器具有良好的帶內平坦度,阻帶內滾降迅速且無均衡紋波響應,因而選擇它作為拓撲結構。
低通濾波器設計
由於接收機IF濾(lv)波(bo)器(qi)用(yong)於(yu)抑(yi)製(zhi)雜(za)散(san)和(he)混(hun)疊(die)信(xin)號(hao),因(yin)此(ci)阻(zu)帶(dai)滾(gun)降(jiang)越(yue)快(kuai)越(yue)好(hao)。但(dan)更(geng)快(kuai)的(de)滾(gun)降(jiang)意(yi)味(wei)著(zhe)要(yao)使(shi)用(yong)更(geng)高(gao)階(jie)器(qi)件(jian)。一(yi)般(ban)不(bu)推(tui)薦(jian)采(cai)用(yong)很(hen)高(gao)階(jie)的(de)濾(lv)波(bo)器(qi),原(yuan)因(yin)如(ru)下(xia):
在設計和調試階段調諧困難。
量產困難:電容間和電感間存在差異,會造成每塊PCB板上的濾波器難以具有相同的響應。
PCB尺寸較大。
一般使用七階或更低階的濾波器。同時,當器件的階數相同時,若能承受更大的帶內紋波,則可以選用更快的阻帶滾降。
然後所需的響應通過指定選定頻率點需要的衰減來定義。
為了確定通帶中的最大紋波量,應使該規格等於係統要求的最大限值。這樣有助於獲得更快的阻帶滾降。
使用濾波器軟件,如MathCad,® MATLAB,® 或ADS來設計單端低通濾波器。
或者手動設計濾波器。Chris Bowick的RF電路設計提供了很有用 的指南。
為了確定過濾器的順序,通過濾波器的截止頻率將其分開使加入的頻率標準化。

例如,若要求帶內紋波為0.1 dB,3 dB截止頻率為100 MHz。在 250 MHz時,要求抑製性能為28 dB,所以頻率比為2.5。三階低通 濾波器可滿足這一要求。如果濾波器的源阻抗為200 Ω,濾波器 的負載阻抗也是200 Ω,則RS/RL為1 — 使用電容作為第一元件。這樣用戶獲得歸一化的C1 = 1.433, L2 = 1.594, C3 = 1.433。如果fc為100 MHz,使用公式7和公式8獲得最終結果。

其中:
CSCALED為最終電容值。LSCALED為最終電感值。Cn為低通原型電容元件值。Ln為低通原型電感元件值。RL為最終負載電阻值。fc 為最終截止頻率。C1SCALED = 1.433/(2π × 100 × 106 × 200) = 11.4 pFL2SCALED = (1.594 × 200)/(2π × 100 × 106) = 507.4 nHC3SCALED = 11.4 pF
電路如圖13所示。

圖13. 單端濾波器示例
將單端濾波器轉化為差分濾波器(參見圖14)。

圖14. 單端濾波器轉化為差分濾波器
對各元件使用實際值,更新後的濾波器如圖15所示。

圖15. 最終差分濾波器
注意,如果混頻器或IF放大器的輸出阻抗以及ADC的輸入阻抗為容性,則考慮使用電容作為第一元件和最後元件會更好。另外,第一電容和最後電容的容值調諧速率(至少0.5 pF)必須高於混頻器或IF放大器的輸出阻抗以及ADC輸入阻抗的容值。否則,調諧濾波器響應將非常困難。
帶通濾波器設計
在通信係統中,當IF頻率相當高時,需要濾除某些低頻雜散,例如半IF雜za散san。為wei此ci需xu設she計ji帶dai通tong濾lv波bo器qi。對dui於yu帶dai通tong濾lv波bo器qi,低di頻pin抑yi製zhi和he高gao頻pin抑yi製zhi不bu必bi對dui稱cheng。設she計ji帶dai通tong抗kang混hun疊die濾lv波bo器qi的de簡jian單dan方fang法fa是shi先xian設she計ji一yi個ge低di通tong濾lv波bo器qi,然ran後hou在zai濾lv波bo器qi最zui後hou一yi級ji的de分fen流liu電dian容rong上shang並bing聯lian一yi個ge分fen流liu電dian感gan,用yong以yi限xian製zhi低di頻pin成cheng分fen(分流電感是一個高通諧振極點)。如ru果guo一yi級ji高gao通tong電dian感gan還hai不bu夠gou,可ke在zai第di一yi級ji分fen流liu電dian容rong上shang再zai並bing聯lian一yi個ge分fen流liu電dian感gan,從cong而er更geng好hao地di抑yi製zhi低di頻pin雜za散san。增zeng加jia分fen流liu電dian感gan之zhi後hou,再zai次ci調tiao諧xie所suo有you元yuan件jian以yi獲huo得de正zheng確que的de帶dai外wai抑yi製zhi規gui格ge,然ran後hou最zui終zhong確que定ding濾lv波bo器qi元yuan件jian值zhi。
注(zhu)意(yi),對(dui)於(yu)帶(dai)通(tong)濾(lv)波(bo)器(qi),一(yi)般(ban)不(bu)建(jian)議(yi)使(shi)用(yong)串(chuan)聯(lian)電(dian)容(rong),因(yin)為(wei)這(zhe)會(hui)增(zeng)加(jia)調(tiao)諧(xie)和(he)調(tiao)試(shi)的(de)難(nan)度(du)。電(dian)容(rong)值(zhi)通(tong)常(chang)相(xiang)當(dang)小(xiao),會(hui)受(shou)到(dao)寄(ji)生(sheng)電(dian)容(rong)很(hen)大(da)的(de)影(ying)響(xiang)。
應用示例
以下是ADL5201 和AD6641 間濾波器設計的示例。ADL5201是一款高性能IF數字控製增益放大器(DGA),針對基站實IF接收機應用或數字預失真(DPD)觀測路徑而設計。它具有30 dB增益控製範圍,線性度極高,OIP3達到50 dBm,電壓增益約為20 dB。 AD6641是 一款250 MHz帶寬DPD觀測接收機,集成一個12位500 MSPS ADC、一個16,000 × 12 FIFO和一個多模式後端,允許用戶通過串行端口檢索數據。該濾波器示例是一個DPD應用。
下麵是取自一個實際通信係統設計的一些帶通濾波器規格:
中心頻率:368.4 MHz
帶寬:240 MHz
輸入和輸出阻抗:150Ω
帶內紋波:0.2 dB
插入損耗:1 dB
帶外抑製:30 dB (614.4 MHz時)
要完成該示例設計:
1. 從單端低通濾波器設計開始(參見圖16)。

圖16. 單端低通濾波器
2. 將單端濾波器變為差分濾波器。源阻抗和負載阻抗保持不變,所有電容並聯,所有串聯電感減半並放在另一差分路徑中(參見圖17)。

圖17. 采用理想元件的差分低通濾波器
3. 用實際值優化元件的理想值(參見圖18)。

圖18. 采用實際值的差分低通濾波器
4. 對於子係統級仿真,應在輸入端增加ADL5201 DGA S參數文件,並使用壓控電壓源來模擬濾波器輸出端的 AD6641 ADC。為將低通濾波器變為帶通濾波器,增加兩個分流電感:L7與C9並聯,L8與C11並聯。C12代表AD6641輸入電容。R3和R4是放在AD6641輸入端的兩個負載電阻,用作濾波器的負載。AD6641輸入為高阻抗。調諧後的情況參見圖19。

圖19. 差分帶通濾波器
5. 采用理想元件的仿真結果如圖20所示。

圖20. 采用理想電感的濾波器傳輸響應
6. 用實際器件(例如Murata LQW18A)的電感S參數文件代替所有理想電感。插入損耗比使用理想電感略高。仿真結果略有變化,如圖21所示。

圖21. 采用Murata LQW18A電感的濾波器傳輸響應
差分濾波器布局考慮
成對差分走線的長度須相同。此規則源自這一事實:差分接收器檢測正負信號跨過彼此的點,即交越點。因此,信號須同時到達接收器才能正常工作。
差分對內的走線布線須彼此靠近。如果一對中的相鄰線路之間的距離大於電介質厚度的2倍bei,則ze其qi間jian的de耦ou合he會hui很hen小xiao。此ci規gui則ze也ye是shi基ji於yu差cha分fen信xin號hao相xiang等deng但dan相xiang反fan這zhe一yi事shi實shi,如ru果guo外wai部bu噪zao聲sheng同tong等deng地di幹gan擾rao兩liang個ge信xin號hao,則ze其qi影ying響xiang會hui互hu相xiang抵di消xiao。同tong樣yang,如ru果guo走zou線xian並bing排pai布bu線xian,則ze差cha分fen信xin號hao在zai相xiang鄰lin導dao線xian中zhong引yin起qi的de任ren何he幹gan擾rao噪zao聲sheng都dou會hui被bei抵di消xiao。
tongyichafenduineidezouxianjianjuzaiquanchangfanweineixubaochibubian。ruguochafenzouxianbicikaojinbuxian,tamenjiangyingxiangzongzukang。ruguocijianjuzaiqudongqiyujieshouqizhijianbianhuabuding,zeyilushanghuicunzaizukangbupipei,daozhifanshe。
差分對之間的間距應較寬,以使其間的串擾最小。
如果在同一層上使用銅皮鋪地,應加大從差分走線到銅皮鋪地之間的間隙。推薦最小間隙為走線寬度的3倍。
在靠近差分對內偏斜源處引入少量彎彎曲曲的校正,從而降低 這種偏斜(參見圖22)。

圖22. 使用彎曲校正
差分對布線時,應避免急轉彎(90°)(參見圖23)。

圖23. 避免90°彎曲
差分對布線時,應使用對稱布線(參見圖24)。若需要測試點, 應避免引入走線分支,而且測試點應對稱放置(參見圖25)。

圖24. 對稱布線指南

圖25. 避免走線分支
就降低對濾波器元件值的要求,減少印刷電路板(PCB)上的調 諧工作量而言,寄生電容和電感應盡可能小。與濾波器設計 中的電感設計值相比,寄生電感可能微不足道。寄生電容對 差分IF濾波器更為重要。IF濾波器設計中的電容隻有幾pF。如 果寄生電容達到數十分之一pF,濾波器響應就會受到相當大的 影響。為了防止寄生電容影響,一個良好的做法是避免差分 布線區域和電源扼流圈下有任何接地或電源層。
ADI公司接收器參考設計板(參見圖26)提供了差分濾波器PCB布局 的一個示例。這顯示了ADL5201和AD6649之間有一個五階濾波 器。AD6649是一款14位250 MHz流水線式ADC,具有非常好的SNR 性能。

圖26. 差分電路PCB布局設計示例
更好地理解差分濾波器設計
差分電路可以為設計師提供一些重要優勢。或許使用差分電路最大的挑戰就是拋開它們難於設計、測試和校正的想法。一旦 您仔細觀察過如何使用差分濾波器後,您會發現自己正在使用 RF設計的重要新工具。
特別推薦
- 噪聲中提取真值!瑞盟科技推出MSA2240電流檢測芯片賦能多元高端測量場景
- 10MHz高頻運行!氮矽科技發布集成驅動GaN芯片,助力電源能效再攀新高
- 失真度僅0.002%!力芯微推出超低內阻、超低失真4PST模擬開關
- 一“芯”雙電!聖邦微電子發布雙輸出電源芯片,簡化AFE與音頻設計
- 一機適配萬端:金升陽推出1200W可編程電源,賦能高端裝備製造
技術文章更多>>
- 築基AI4S:摩爾線程全功能GPU加速中國生命科學自主生態
- 一秒檢測,成本降至萬分之一,光引科技把幾十萬的台式光譜儀“搬”到了手腕上
- AI服務器電源機櫃Power Rack HVDC MW級測試方案
- 突破工藝邊界,奎芯科技LPDDR5X IP矽驗證通過,速率達9600Mbps
- 通過直接、準確、自動測量超低範圍的氯殘留來推動反滲透膜保護
技術白皮書下載更多>>
- 車規與基於V2X的車輛協同主動避撞技術展望
- 數字隔離助力新能源汽車安全隔離的新挑戰
- 汽車模塊拋負載的解決方案
- 車用連接器的安全創新應用
- Melexis Actuators Business Unit
- Position / Current Sensors - Triaxis Hall
熱門搜索
微波功率管
微波開關
微波連接器
微波器件
微波三極管
微波振蕩器
微電機
微調電容
微動開關
微蜂窩
位置傳感器
溫度保險絲
溫度傳感器
溫控開關
溫控可控矽
聞泰
穩壓電源
穩壓二極管
穩壓管
無焊端子
無線充電
無線監控
無源濾波器
五金工具
物聯網
顯示模塊
顯微鏡結構
線圈
線繞電位器
線繞電阻




