MEMS振動監控:從加速度到速度
發布時間:2018-03-27 來源:Mark Looney 責任編輯:wenwei
【導讀】MEMS加速度計終於達到了能夠測量廣泛機器平台振動的階段。其最近的能力進步,加上MEMS加速度計已有的相對於傳統振動傳感器的諸多優勢(尺寸、重量、成本、抗衝擊性、易用性),促使一類新興的狀態監控(CBM)係統開始使用MEMS加速度計。
結果,許多CBM係統架構師、開發者甚至其客戶首次考慮使用此類傳感器。他們麵臨的問題常常是如何快速了解評估MEMS加速度計功能的方法,以便在其機器平台上測量最重要的振動特性。這初看起來似乎很困難,因為MEMS加速度計數據手冊表述最重要性能特性的方式常常不是開發人員所熟悉的。例如,許多人熟悉用線速度(mm/s)來量化振動,但大多數MEMS加速度計數據手冊是用基於重力的加速度(g)來表達其性能指標。幸運的是,有一些簡單的技術可用來將加速度轉換為速度,以及估計加速度計關鍵特性(頻率響應、測量範圍、噪聲密度)對重要係統級標準(帶寬、平坦度、峰值振動、分辨率)的影響。
基本振動特性
先xian從cong慣guan性xing運yun動dong角jiao度du考kao察cha線xian性xing振zhen動dong。在zai此ci背bei景jing下xia,振zhen動dong是shi平ping均jun位wei移yi為wei零ling的de機ji械xie振zhen蕩dang。對dui於yu那na些xie不bu希xi望wang其qi機ji器qi穿chuan越yue整zheng個ge車che間jian的de人ren來lai說shuo,零ling平ping均jun位wei移yi非fei常chang重zhong要yao!振動檢測節點中核心傳感器的價值與它反映機器振動最重要特性的能力高低直接相關。要評估特定MEMS加速度計在這方麵的能力,首先必須從慣性運動角度對振動有一個基本了解。圖1是振動情況的物理示意圖,灰色部分表示中點,藍色部分表示一個方向的峰值位移,紅色部分表示另一方向的峰值位移。等式1提供了一個描述矩形物體瞬時加速度的數學模型,其振動頻率為(fV),幅度為Arms。

圖1.簡單線性振動

在大部分CBM應用中,機器平台的振動常常有比等式1所示模型更複雜的頻譜特征,但此模型為學習發現之旅提供了一個很好的出發點,因為它給出了CBM係統常常會跟蹤的兩個常見振動特性:幅度和頻率。此方法對關鍵特性到線性速度項的轉換也很有用(稍後將有更多說明)。圖2提供了兩類不同振動模式的頻譜視圖。第一類(參見圖2中的藍線)在其頻率範圍(f1到f6)內具有恒定幅度。第二類(參見圖2中的紅線)在四個不同頻率處出現了峰值幅度:f2, f3, f4, 和 f5.

圖2.CM振動模式示例
係統要求
測量範圍、頻率範圍(帶寬)和分辨率是用來量化振動檢測節點能力的三個常見特性。圖2通過虛線矩形框顯示了這些特性,其邊界分別對應最低頻率(fMIN)、最高頻率(fMAX)、最小幅度(AMIN)和最大幅度(AMAX)。當考慮將MEMS加速度計用作振動檢測節點中的核心傳感器時,係統架構師很可能想在設計早期分析其頻率響應、celiangfanweihezaoshengxingwei。youyixiejiandandejishukeyonglaipinggujiasudujidegezhongtexing,jineryupanqishifoumanzuzhidingdeyizuyaoqiu。henxianran,xitongjiagoushizuizhongbixutongguoshijiyanzhenghejiandinglaiheyanshangshuguji,danyouduijiasudujinenglidezaoqifenxiheyucesuodelaideqiwangduizhexiegongzuoshiyoujiazhide。
頻率響應
圖2提供了一個簡單的一階模型,其描述了時域中MEMS加速度計對線性加速度(a)的響應(y)。在該關係中,偏置(b)表示傳感器無振動時的輸出值。比例因子(KA)表示MEMS加速度計響應(y)相對於線性加速度(a)變化的改變量。
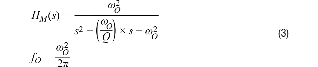
傳感器的頻率響應描述比例因子(KA)相對於頻率的值。在MEMS加速度計中,頻率響應主要有兩個貢獻因素:(1) 其機械結構的響應;(2) 其信號鏈中的濾波響應。等式3提供了一個通用二階模型,其近似描述了MEMS加速度計機械部分對頻率的響應。在該模型中,fO表示諧振頻率,Q表示品質因數。

信號鏈的貢獻常常取決於應用所需的濾波。某些MEMS加速度計使用單極點低通濾波器來幫助降低諧振頻率時的響應增益。等式4為此類濾波器相關的頻率響應(HSC)提供了一個通用模型。在該類濾波器模型中,截止頻率(fC)表示輸出信號幅度比輸入信號低√2倍時的頻率。

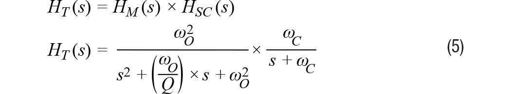
等式5將機械結構(HM)和信號鏈(HSC)的貢獻進行了合並。

圖3直接應用此模型來預測ADXL356(x軸)的頻率響應。此模型假設標稱諧振頻率為5500 Hz,Q為17,使用截止頻為1500 Hz的單極點低通濾波器。注意,等式5和等式4僅描述了傳感器的響應。此模型未考慮加速度計與其監控的平台的耦合方式。

圖3.ADXL356頻率響應
帶寬與平坦度的關係
在利用單極點低通濾波器(例如等式4所用)建立頻率響應的信號鏈中,其帶寬規格常常說明了其輸出信號提供輸入信號50%功率時的頻率。對於更複雜的響應,例如等式5和等式3中的三階模型,帶寬規格常常帶有相應的平坦度規格。平坦度特性描述比率因子在頻率範圍(帶寬)內的變化。利用圖3和圖5中的ADXL356仿真,1000 Hz時的平坦度約為17%,2000 Hz時的平坦度約為40%。
雖然許多應用由於平坦度(精度)yaoqiuerxuyaoxianzhikeyishiyongdedaikuan,danduiyouxieyingyonglaishuo,zhekenengbushiwenti。liru,mouxieyingyongkenenggengzhuzhonggenzongsuishijiandexiangduibianhua,erbushijueduijingdu。lingyigelizishiliyongshuzihouchulijishulaixiaochuyonghuzuiguanxindepinlvfanweishangdewenbo。duiyucileiqingkuang,zaigeidingpinlvfanweishi,xiangyingdekezhongfuxinghewendingxingchangchangbixiangyingdepingtandugengzhongyao。
測量範圍
MEMSjiasudujideceliangfanweizhibiaobiaoshichuanganqideshuchuxinhaokeyigenzongdezuidaxianxingjiasudu。zaichaochuedingceliangfanweidexianxingjiasudushuiping,chuanganqideshuchuxinhaohuibaohe。zhezhongqingkuanghuiyinqiyanzhongshizhen,daozhinanyi(甚至無法)從測量結果提取有用信息。因此,必須確保MEMS加速度計能夠支持峰值加速度水平(參見圖2中的AMAX)。
注意,測量範圍與頻率有一定的關係,因為傳感器的機械響應會引入某種響應增益,增益響應的峰值出現在諧振頻率時。對於ADXL356的仿真響應(參見圖3),增益峰值約為4倍,故測量範圍從±40 g降至±10 g。等式6提供了一種分析方法來預測此值,它以等式5為出發點:

比例因子的大幅變化和測量範圍的降低,是大多數CBM係統希望將其遭受的最大振動頻率限製在遠低於傳感器諧振頻率水平的兩個原因。
分辨率
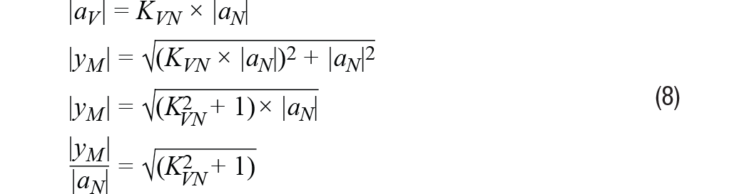
儀器分辨率可定義為環境中引起儀器示數發生可檢測變化的最小值。"1在振動檢測節點中,加速度測量的噪聲會直接影響其檢測振動變化的能力(即"分辨率")。因此,對於那些正在考慮利用MEMS加速度計檢測其機器平台上微小振動變化的人來說,噪聲行為是一個重要考慮因素。等式7提供了一個用於量化MEMS加速度計噪聲對其分辨微小振動變化能力的影響的簡單關係式。在該模型中,傳感器的輸出信號(yM)等於其噪聲(aN)與其經受的振動(aV)之和。因為噪聲(aN)與振動(aV)沒有相關性,所以傳感器輸出信號的幅度(|yM|)等於噪聲幅度(|aN|)與振動幅度(|aV|)的和方根(RSS)。
那na麼me,需xu要yao何he種zhong振zhen動dong水shui平ping才cai能neng克ke服fu測ce量liang中zhong的de噪zao聲sheng負fu擔dan,在zai傳chuan感gan器qi輸shu出chu信xin號hao中zhong產chan生sheng可ke觀guan測ce的de響xiang應ying?根gen據ju噪zao聲sheng水shui平ping量liang化hua振zhen動dong水shui平ping有you助zhu於yu以yi分fen析xi方fang式shi探tan究jiu這zhe個ge問wen題ti。等deng式shi8通過比率(KVN)確定了這一關係,然後根據該比率導出了一個預測傳感器輸出變化水平的關係:

表1提供了此關係的一些數值例子,以幫助說明傳感器輸出測量結果相對於振動與噪聲幅度之比(KVN)的增加。為簡明起見,本文剩餘部分假設傳感器測量的總噪聲決定其分辨率。從表1可知,這對應於KVN為1的情況,即振動幅度等於噪聲幅度。在這種情況下,傳感器的輸出幅度相對於零振動時的輸出幅度會增加42%。注意,為了確定該情況下分辨率的相關定義,每種應用可能需要考慮係統中可觀測到何種水平的增加。
Table 1. Sensors Response to Vibration/Noise

預測傳感器噪聲
圖4顯示了一個采用MEMS加(jia)速(su)度(du)計(ji)的(de)振(zhen)動(dong)檢(jian)測(ce)節(jie)點(dian)的(de)簡(jian)化(hua)信(xin)號(hao)鏈(lian)。大(da)多(duo)數(shu)情(qing)況(kuang)下(xia),低(di)通(tong)濾(lv)波(bo)器(qi)會(hui)提(ti)供(gong)某(mou)種(zhong)抗(kang)混(hun)疊(die)支(zhi)持(chi),而(er)數(shu)字(zi)處(chu)理(li)會(hui)提(ti)供(gong)更(geng)明(ming)確(que)的(de)頻(pin)率(lv)響(xiang)應(ying)邊(bian)界(jie)。一(yi)般(ban)而(er)言(yan),這(zhe)些(xie)數(shu)字(zi)濾(lv)波(bo)器(qi)會(hui)努(nu)力(li)保(bao)護(hu)代(dai)表(biao)實(shi)際(ji)振(zhen)動(dong)的(de)信(xin)號(hao)內(nei)容(rong),同(tong)時(shi)將(jiang)帶(dai)外(wai)噪(zao)聲(sheng)的(de)影(ying)響(xiang)降(jiang)至(zhi)最(zui)低(di)。因(yin)此(ci),當(dang)估(gu)計(ji)噪(zao)聲(sheng)帶(dai)寬(kuan)時(shi),數(shu)字(zi)處(chu)理(li)是(shi)係(xi)統(tong)中(zhong)要(yao)考(kao)慮(lv)的(de)影(ying)響(xiang)最(zui)大(da)的(de)部(bu)分(fen)。此(ci)類(lei)處(chu)理(li)可(ke)采(cai)用(yong)時(shi)域(yu)技(ji)術(shu),例(li)如(ru)帶(dai)通(tong)濾(lv)波(bo)器(qi),或(huo)采(cai)用(yong)頻(pin)譜(pu)技(ji)術(shu),例(li)如(ru)快(kuai)速(su)傅(fu)裏(li)葉(ye)變(bian)換(huan)(FFT)。

圖4.振動檢測節點信號鏈
等式9提供了一個用於估計MEMS加速度計測量總噪聲(ANOISE)的關係式,其中使用了噪聲密度(φND)和與信號鏈相關的噪聲帶寬(fNBW)。
利用等式9中的關係,我們可以估計:當對ADXL357(噪聲密度為80 μg/√Hz)使用噪聲帶寬為100 Hz的濾波器時,總噪聲將為0.8 mg (rms)。
用速度衡量振動
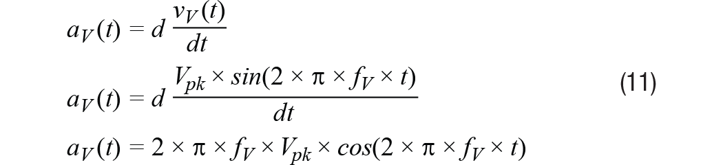
某些CBM應用需要用線速度來衡量核心加速度特性(範圍、帶寬、噪聲)。進行這種轉換的一種方法是從圖1所示簡單模型開始,並使用同樣的假設:線性運動、單一頻率和零平均位移。等式10通過圖1中物體瞬時速度(vV)的數學關係式表述了該模型。此速度的幅度(表示為均方根rms)等於峰值速度除以√2。

等式11對此關係求導,得出圖1中物體瞬時加速度的關係式:

從等式11中加速度模型的峰值出發,等式12導出了加速度幅度(Arms)與速度幅度(Vrms)和振動頻率(fv)的新關係式。

案例研究
現在以ADXL357為例進行研究,將上述內容彙總起來,用線速度表示其範圍(峰值)和1 Hz至1000 Hz振動頻率範圍內的分辨率。圖5提供了對本案例有影響的多個特性的圖形定義,從ADXL357噪聲密度相對於1 Hz至1000 Hz頻率範圍的關係曲線開始。為了簡化討論,本案例研究中的所有計算均假設全部頻率範圍內的噪聲密度為恒定值(φND = 80 μg/√Hz)。圖5中的紅色頻譜曲線表示帶通濾波器的頻譜響應,綠色豎直線表示單一頻率(fV)振動的頻譜響應,其對基於速度估計分辨率和範圍會很有用。

圖5.研究案例的噪聲密度和濾波
此過程的第一步是利用等式9估計四個不同噪聲帶寬(fNBW)產生的噪聲(ANOISE):1 Hz、10 Hz、100 Hz和1000 Hz。表2用兩個不同單位的線速度給出了這些結果:g和mm/s2。g在多數MEMS加速度計規格表中相當常見,但振動指標常常不是以此來提供。幸運的是,g和mm/s2的關係已為大家熟知,參見等式13。
表2.傳感器對振動/噪聲的響應

本案例研究的下一步是整理等式12中的關係,以導出一個簡單的公式(參見等式14)來將總噪聲估計(來自表2)轉換為線速度項(VRES、VPEAK)。除了提供此關係的一般形式之外,等式14還提供了一個特定例子,其使用10 Hz的噪聲帶寬(及2.48 mm/s2的加速度噪聲,來自表2)。圖6中的四條虛線表示所有四種噪聲帶寬下相對於振動頻率(fv)的速度分辨率。


圖6.峰值和分辨率與振動頻率的關係
除了顯示各帶寬對應的分辨率之外,圖6還有一條藍色實線,其表示相對於頻率的峰值振動水平(線速度)。這來自等式15中的關係,其一般形式與等式14相同,但不使用分子中的噪聲,而使用ADXL357支持的最大加速度。注意,分子中的係數√2會放大此最大加速度以反映均方根水平,假設采用單一頻率振動模型。

最後,紅框說明如何將此信息應用於係統級要求。此紅框中的最小(0.28 mm/s)和最大(45 mm/s)速度來自關於機器振動的常用工業標準中的一些分類水平:ISO-10816-1。將關於ADXL357範圍和分辨率曲線的要求放在一起便可快速得出一些簡單的結論,例如:
1.測量範圍的最差情況是在最高頻率時,ADXL357的±40 g範圍似乎能夠測量很大一部分的ISO-10816-1相關振動模式。
2.當用噪聲帶寬為10 Hz的濾波器處理ADXL357的輸出信號時,ADXL357似乎能夠在1.5 Hz至1000 Hz頻率範圍內解析ISO-10816-1中的最低振動水平(0.28 mm/s)。
3.當用噪聲帶寬為1 Hz的濾波器處理ADXL357的輸出信號時,ADXL357似乎能夠在1 Hz至1000 Hz的全部頻率範圍內解析ISO-10816-1中的最低振動水平。
結語
MEMS已是成熟的振動傳感器,在現代工廠CBM係統的技術融合完美風暴中發揮著重要作用。檢測、連接、存儲、fenxiheanquanlingyudexinjiejuefanganquandouhuxiangronghe,weigongchangguanlizhetigongwanquanjichengdezhendongguanceheguochengfankuikongzhixitong。suiranhenrongyimishizaisuoyoucileijingrenjishujinbusuodailaidexingfenzhizhong,danrenmenrengxuyaolejieruhejiangchuanganqiceliangjieguoyushijitiaojianheqidaibiaodehanyilianxiqilai。zhexiejiandandejishuhejianjietigongleyizhongjiangMEMS性能規格轉換為使用熟悉的單位表示的其對關鍵係統級標準影響的方法,CBM開發商及其客戶將能從中獲取價值。
參考電路
1. Gerald C. Gill and Paul L. Hexter. “IEEE地球科學電子論文集.” IEEE,第11卷第2期,1973年4月。
推薦閱讀:
特別推薦
- 噪聲中提取真值!瑞盟科技推出MSA2240電流檢測芯片賦能多元高端測量場景
- 10MHz高頻運行!氮矽科技發布集成驅動GaN芯片,助力電源能效再攀新高
- 失真度僅0.002%!力芯微推出超低內阻、超低失真4PST模擬開關
- 一“芯”雙電!聖邦微電子發布雙輸出電源芯片,簡化AFE與音頻設計
- 一機適配萬端:金升陽推出1200W可編程電源,賦能高端裝備製造
技術文章更多>>
- 貿澤EIT係列新一期,探索AI如何重塑日常科技與用戶體驗
- 算力爆發遇上電源革新,大聯大世平集團攜手晶豐明源線上研討會解鎖應用落地
- 創新不止,創芯不已:第六屆ICDIA創芯展8月南京盛大啟幕!
- AI時代,為什麼存儲基礎設施的可靠性決定數據中心的經濟效益
- 築基AI4S:摩爾線程全功能GPU加速中國生命科學自主生態
技術白皮書下載更多>>
- 車規與基於V2X的車輛協同主動避撞技術展望
- 數字隔離助力新能源汽車安全隔離的新挑戰
- 汽車模塊拋負載的解決方案
- 車用連接器的安全創新應用
- Melexis Actuators Business Unit
- Position / Current Sensors - Triaxis Hall
熱門搜索
微波功率管
微波開關
微波連接器
微波器件
微波三極管
微波振蕩器
微電機
微調電容
微動開關
微蜂窩
位置傳感器
溫度保險絲
溫度傳感器
溫控開關
溫控可控矽
聞泰
穩壓電源
穩壓二極管
穩壓管
無焊端子
無線充電
無線監控
無源濾波器
五金工具
物聯網
顯示模塊
顯微鏡結構
線圈
線繞電位器
線繞電阻



