基於MUSIC的算法利用腕上PPG信號提供按需心率估算
發布時間:2018-03-20 來源:Foroohar Foroozan 責任編輯:wenwei
【導讀】想象未來幾十年後的世界,您的孫子們可能不知道醫院這個詞,所有健康信息都是通過傳感器遠程記錄和監測。想象您的家裏配備了不同的傳感器來測量空氣質量、溫度、噪聲、光照和氣壓,並且根據您的個人健康信息,係統調整相關環境參數以優化您的家居環境。
心率(HR)監測是許多現有可穿戴產品和臨床設備的關鍵特性。這些設備一般測量光電容積脈搏波(PPG)信號,為獲得該信號,須利用LED照射人體皮膚,然後用光電二極管測量血流引起的反射光強度變化。PPG信號形態與動脈血壓(ABP)波形相似,這使得該信號成為受科學界歡迎的非侵入性心率監測工具。PPG信號的周期性與心髒節律相對應。因此,可以根據PPG信號估算心率。然而,受血液灌流不良、環境光線以及最重要的運動偽像(MA) 1的影響,心率估算性能會降低。業界已提出許多信號處理技術來消除MA噪聲,包括ADI公司的運動抑製和頻率跟蹤算法,通過使用一個靠近PPGchuanganqifangzhidesanzhoujiasuduchuanganqilaishixian。dangmeiyouyundongshi,zuihaonengyouyigeanxusuanfalaixianggenzongsuanfatigongkuaisuqiegengjingquedexinlvgusuan。benwengaizaoleduoxinhaofenlei(MUSIC)頻率估計算法,以利用ADI醫療健康手表平台,根據手腕上的PPG信號實現高精度按需心率估算,圖1所示為其框圖。該圖的細節將在後麵的內容中說明。

圖1. 利用腕上PPG信號的基於MUSIC的按需心率估計算法
ADI醫療健康手表提供的PPG信號概述
當LED發fa光guang時shi,血xue液ye和he組zu織zhi會hui吸xi收shou不bu同tong數shu量liang的de光guang子zi,導dao致zhi光guang電dian檢jian測ce器qi檢jian測ce到dao不bu同tong的de結jie果guo。光guang電dian檢jian測ce器qi測ce量liang血xue液ye脈mai動dong的de變bian化hua並bing輸shu出chu一yi個ge電dian流liu,該gai電dian流liu隨sui後hou經jing放fang大da和he濾lv波bo以yi供gong進jin一yi步bu分fen析xi。 圖2a顯示了一個由交流(ac)和直流(dc)分量組成的一般PPG信號。PPG波形的直流分量檢測組織、骨gu骼ge和he肌ji肉rou反fan射she的de光guang信xin號hao,以yi及ji動dong脈mai和he靜jing脈mai血xue液ye的de平ping均jun血xue容rong量liang。交jiao流liu分fen量liang則ze表biao示shi心xin動dong周zhou期qi的de收shou縮suo期qi和he舒shu張zhang期qi之zhi間jian發fa生sheng的de血xue容rong量liang變bian化hua,交jiao流liu分fen量liang的de基ji頻pin取qu決jue於yu心xin率lv。圖tu2b是來自 ADPD107 手表的PPG信號,這在之前的《模擬對話》文章中已介紹過。ADI多感知手表的目標是測量人體手腕上的多項生命體征。ADI手表有PPG、心電圖(ECG)、皮膚電活動(EDA)、加速度(ACC)和溫度傳感器。本文僅關注PPG和ACC傳感器。
現在我們仔細看看PPG和ABP波形的相似之處。ABP波bo形xing是shi由you於yu左zuo心xin室shi射she出chu血xue液ye造zao成cheng的de。主zhu壓ya力li沿yan全quan身shen血xue管guan網wang流liu動dong並bing到dao達da多duo個ge部bu位wei,動dong脈mai阻zu力li和he順shun應ying性xing的de顯xian著zhu變bian化hua引yin起qi反fan射she。第di一yi個ge部bu位wei是shi胸xiong主zhu動dong脈mai和he腹fu主zhu動dong脈mai之zhi間jian的de接jie合he處chu,其qi引yin起qi第di一yi次ci反fan射she,通tong常chang稱cheng為wei收shou縮suo晚wan期qi波bo。第di二er個ge反fan射she部bu位wei是shi腹fu主zhu動dong脈mai和he髂qia總zong動dong脈mai之zhi間jian的de接jie合he處chu。主zhu波bo被bei再zai次ci反fan射she回hui來lai,產chan生sheng一yi個ge很hen小xiao的de下xia降jiang,稱cheng為wei重zhong搏bo切qie跡ji,這zhe可ke以yi在zai第di一yi次ci和he第di二er次ci反fan射she之zhi間jian觀guan察cha到dao。還hai有you其qi他ta較jiao小xiao的de反fan射she,這zhe些xie反fan射she在zaiPPG信號中被平滑掉2。本文的重點是心率估計,其僅取決於PPG信號的周期性,此算法不考慮PPG的確切形態。

圖2a. 含交流和直流部分的典型PPG信號

圖2b. ADI醫療保健手表PPG信號
PPG信號預處理
PPG信號易受周邊組織的不良血液灌流和運動偽像的影響是眾所周知的1。為將這些因素的影響降至最小,以免幹擾隨後的PPG分析和心率估計,須有一個預處理階段。需要一個帶通濾波器來消除PPG信號的高頻成分(如電源)和低頻成分(如毛細血管密度和靜脈血容量的變化、溫度變化等等)。圖3a顯示了濾波之後的PPG信號。使用一組信號質量指標來找到適合於按需算法的PPG信號第一個窗口。第一次檢查涉及ACC數據和PPG信號,以確定是否能檢測到一段無運動的數據,然後衡量其他信號質量指標。如果三個方向上存在高於ACC數(shu)據(ju)絕(jue)對(dui)值(zhi)的(de)特(te)定(ding)閾(yu)值(zhi)的(de)運(yun)動(dong),則(ze)按(an)需(xu)算(suan)法(fa)會(hui)拒(ju)絕(jue)根(gen)據(ju)這(zhe)樣(yang)的(de)數(shu)據(ju)窗(chuang)口(kou)進(jin)行(xing)估(gu)計(ji)。下(xia)一(yi)信(xin)號(hao)質(zhi)量(liang)檢(jian)查(zha)是(shi)基(ji)於(yu)數(shu)據(ju)段(duan)特(te)征(zheng)的(de)某(mou)種(zhong)自(zi)相(xiang)關(guan)。圖(tu)3b顯示了經濾波的PPG信號的一個自相關例子。可接受信號段的自相關表現出如下特性:具有至少一個局部峰值,並且對應於最高可能心率的峰值不超過某一數量;局部峰值從高到低遞減,間隔時間遞增;以及其他一些特性。僅計算與有意義的心率(位於30 bpm到220 bpm範圍內)相對應的間隔時間的自相關。
當有足夠的數據段連續通過質量檢查時,算法的第二階段就會使用基於MUSIC的算法算出準確的心率。

圖3a. 經過帶通濾波的圖1b中PPG信號

圖3b. 圖2a中信號圖的自相關
基於MUSIC的按需心率估計算法
MUSIC是一種基於子空間的方法,使用諧波信號模型,可以高精度地估算頻率3。對於受到噪聲破壞的PPG信號,傅立葉變換(FT)可能表現不佳,因為我們需要的是高分辨率心率估計算法。此外,FT將時域噪聲均勻分布到整個頻域中,限製了估算的確定性。使用FT很難在較大峰值附近觀察到較小峰值4。因此,在本研究中,我們使用基於MUSIC的算法進行心率的頻率估計。MUSIC背後的關鍵思想是噪聲子空間與信號子空間正交,所以噪聲子空間的零點會指示信號頻率。下麵的步驟是這種心率估計算法的總結:
1.從數據中刪除平均和線性趨勢
2.計算數據的協方差矩陣
3.對協方差矩陣應用奇異值分解(SVD)
4.計算信號子空間階數
5.形成信號或噪聲子空間的偽譜
6.找出MUSIC偽譜的峰值作為心率估計值
MUSIC必須應用奇異值分解,並且必須在整個頻率範圍內搜索頻譜峰值。我們來看一些數學算式,以使上述步驟更清晰。假設經濾波的PPG信號有一個長度為m的窗口,表示為xm且m≤L(其中L為給定窗口中經濾波PPG信號的總樣本數)。那麼,第一步是形成樣本協方差矩陣,如下所示:
然後對樣本協方差矩陣應用SVD,如下所示:
其中,U為協方差矩陣的左特征向量,Λ為特征值的對角矩陣,V為右特征向量。下標s和n分別代表信號和噪聲子空間。正如之前提到的,使用信號已經通過信號質量檢查階段的先備知識,對基於MUSIC的(de)算(suan)法(fa)進(jin)行(xing)修(xiu)改(gai)以(yi)用(yong)於(yu)心(xin)率(lv)估(gu)計(ji),因(yin)此(ci)預(yu)處(chu)理(li)步(bu)驟(zhou)之(zhi)後(hou),信(xin)號(hao)中(zhong)唯(wei)一(yi)存(cun)在(zai)的(de)頻(pin)率(lv)成(cheng)分(fen)是(shi)心(xin)率(lv)頻(pin)率(lv)。接(jie)下(xia)來(lai)形(xing)成(cheng)信(xin)號(hao)和(he)噪(zao)聲(sheng)子(zi)空(kong)間(jian),假(jia)設(she)模(mo)型(xing)階(jie)數(shu)隻(zhi)包(bao)含(han)一(yi)個(ge)單(dan)音(yin),如(ru)下(xia)所(suo)示(shi):
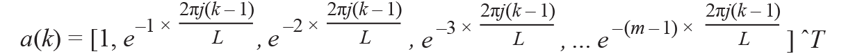
其中p = 2為模型數。僅考慮有意義心率限值內的頻率。這會大 大減少計算量,使嵌入式算法的實時實現成為可能。搜索頻率 向量定義為:
其中,k為心率目標頻率範圍內的頻點,L為xm(t)中數據的窗口長度。然後,下麵的偽譜使用噪聲子空間特征向量找出MUSIC的峰值,如下所示。
這裏使用偽譜一詞,是因為它表明所研究信號中存在正弦分量,但它不是一個真正的功率譜密度。圖4顯示了基於MUSIC的算法處理5秒數據窗口得到的示例結果,在1.96 Hz處有一個很陡的峰值,換算為心率是117.6 bpm。

圖4. 使用PPG數據的基於MUSIC估計的一個示例
基於MUSIC的按需心率估計算法的結果
我們已經在一個包含1289個測試案例(data1)的數據集上測試了該算法的性能,並且在數據開始時,測試對象被要求靜止。表1給出了基於MUSIC算法的結果,並指出估計的心率是否在參考(ECG)的2 bpm和5 bpm精度範圍內,以及估計時間的第50百分位數(中值)和第75百分位數。表1中的第二行顯示了對於一個包含298個測試案例(data2)的數據集,存在周期性運動(如步行、慢跑、跑步)時shi該gai算suan法fa的de性xing能neng。通tong過guo檢jian測ce運yun動dong,如ru果guo任ren一yi數shu據ju被bei視shi為wei不bu可ke靠kao而er遭zao到dao拒ju絕jue,或huo者zhe是shi認ren為wei不bu受shou運yun動dong影ying響xiang而er精jing確que估gu算suan得de到dao心xin率lv,則ze認ren為wei該gai算suan法fa是shi成cheng功gong的de。在zai內nei存cun使shi用yong方fang麵mian,假jia設she緩huan衝chong區qu大da小xiao為wei500(即100 Hz時為5秒),對於目標頻率範圍(30 bpm至220 bpm),所需總內存約為3.4 kB,每次調用花費2.83周期。
表1. 基於MUSIC的按需心率估計算法的性能數值

結語
基於MUSIC的按需算法是ADI公司醫療保健業務部門生命體征監測小組提出的眾多算法之一。在我們醫療健康手表中使用的按需算法與這裏討論的基於MUSIC的方法不同,前者的計算成本較低。ADI公司為傳感器(嵌入式)hebianyuanjiediantigongruanjianhesuanfagongneng,shiqicongshujuzhonghuoquyoujiazhidexinxi,jinjiangzuizhongyaodeshujufasongdaoyunduan,rangwomendekehuhehezuohuobankeyizaibendizuochujuece。womenxuanzeyingyongdebiaozhunshi,qichengguoduiyuwomendekehulaishuofeichangzhongyao,bingqiewomenyongyoudutedeceliangzhuanyejishu。benwenzhishiduiADI公司研發的算法的簡單介紹。憑借我們在傳感器設計方麵的現有專業知識,以及我們在生物醫學算法開發(包括嵌入式和雲計算)方麵的努力,ADI公司將擁有獨特的優勢來為全球醫療健康市場提供最先進的算法和軟件。
參考電路
1 Tamura, Toshiyo Tamura, Yuka Maeda, Masaki Sekine, 和 Masaki Yoshida. “可穿戴光電容積脈搏波傳感器——過去和現在.” Electronics, 第3卷第2期,2014年。
2 R. Couceiro, P. Carvalho, R.P. Paiya, J. Henriques, I. Quintal, M. Antunes, J. Muehlsteff, C. Eickholt, C. Brinkmeyer, M. Kelm, 和 C. Meyer. “根據手指光電血管容積圖的多高斯擬合評估心血管功能.” Physiological Measurement,第36卷第9期,2015年。
3 Petre Stoica and Randolph L. Moses. 信號頻譜分析. Pearson Prentice Hall,2005年
4Steven W. Smith。麵向科學家和工程師的數字信號處理指南。California Technical Publishing,1997年。
本文轉載自亞德諾半導體。
推薦閱讀:
特別推薦
- 噪聲中提取真值!瑞盟科技推出MSA2240電流檢測芯片賦能多元高端測量場景
- 10MHz高頻運行!氮矽科技發布集成驅動GaN芯片,助力電源能效再攀新高
- 失真度僅0.002%!力芯微推出超低內阻、超低失真4PST模擬開關
- 一“芯”雙電!聖邦微電子發布雙輸出電源芯片,簡化AFE與音頻設計
- 一機適配萬端:金升陽推出1200W可編程電源,賦能高端裝備製造
技術文章更多>>
- 算力爆發遇上電源革新,大聯大世平集團攜手晶豐明源線上研討會解鎖應用落地
- 築基AI4S:摩爾線程全功能GPU加速中國生命科學自主生態
- 一秒檢測,成本降至萬分之一,光引科技把幾十萬的台式光譜儀“搬”到了手腕上
- AI服務器電源機櫃Power Rack HVDC MW級測試方案
- 突破工藝邊界,奎芯科技LPDDR5X IP矽驗證通過,速率達9600Mbps
技術白皮書下載更多>>
- 車規與基於V2X的車輛協同主動避撞技術展望
- 數字隔離助力新能源汽車安全隔離的新挑戰
- 汽車模塊拋負載的解決方案
- 車用連接器的安全創新應用
- Melexis Actuators Business Unit
- Position / Current Sensors - Triaxis Hall
熱門搜索
微波功率管
微波開關
微波連接器
微波器件
微波三極管
微波振蕩器
微電機
微調電容
微動開關
微蜂窩
位置傳感器
溫度保險絲
溫度傳感器
溫控開關
溫控可控矽
聞泰
穩壓電源
穩壓二極管
穩壓管
無焊端子
無線充電
無線監控
無源濾波器
五金工具
物聯網
顯示模塊
顯微鏡結構
線圈
線繞電位器
線繞電阻



